Online Database of Chemicals from Around the World

1-[19-氨基-7,10-二(2-氨基-2-氧代乙基)-13-丁烷-2-基-16-[(4-羟基苯基)甲基]-6,9,12,15,18-五氧代-1,2-二硫杂-5,8,11,14,17-五氮杂环二十烷-4-羰基]-N-[1-[(2-氨基-2-氧代乙基)氨基]-3-甲基-1-氧代丁烷-2-基]吡咯烷-2-甲酰胺
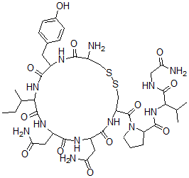
[CAS# 144334-52-1]

基本信息
产品名称 1-[19-氨基-7,10-二(2-氨基-2-氧代乙基)-13-丁烷-2-基-16-[(4-羟基苯基)甲基]-6,9,12,15,18-五氧代-1,2-二硫杂-5,8,11,14,17-五氮杂环二十烷-4-羰基]-N-[1-[(2-氨基-2-氧代乙基)氨基]-3-甲基-1-氧代丁烷-2-基]吡咯烷-2-甲酰胺
英文名 1-[19-Amino-7,10-Bis(2-Amino-2-Oxoethyl)-13-Butan-2-Yl-16-[(4-Hydroxyphenyl)Methyl]-6,9,12,15,18-Pentaoxo-1,2-Dithia-5,8,11,14,17-Pentazacycloicosane-4-Carbonyl]-N-[1-[(2-Amino-2-Oxoethyl)Amino]-3-Methyl-1-Oxobutan-2-Yl]Pyrrolidine-2-Carboxamide
别名 1-[19-Amino-7,10-Bis(2-Amino-2-Oxo-Ethyl)-16-[(4-Hydroxyphenyl)Methyl]-6,9,12,15,18-Pentaoxo-13-Sec-Butyl-1,2-Dithia-5,8,11,14,17-Pentazacycloicosane-4-Carbonyl]-N-[1-[(2-Amino-2-Oxo-Ethyl)Carbamoyl]-2-Methyl-Propyl]Pyrrolidine-2-Carboxamide; 1-[[19-Amino-7,10-Bis(2-Amino-2-Oxoethyl)-16-[(4-Hydroxyphenyl)Methyl]-6,9,12,15,18-Pentaoxo-13-Sec-Butyl-1,2-Dithia-5,8,11,14,17-Pentazacycloicos-4-Yl]-Oxomethyl]-N-[1-[[(2-Amino-2-Oxoethyl)Amino]-Oxomethyl]-2-Methylpropyl]-2-Pyrrolidinecarboxamide; 1-[19-Amino-7,10-Bis(2-Amino-2-Keto-Ethyl)-16-(4-Hydroxybenzyl)-6,9,12,15,18-Pentaketo-13-Sec-Butyl-1,2-Dithia-5,8,11,14,17-Pentazacycloicosane-4-Carbonyl]-N-[1-[(2-Amino-2-Keto-Ethyl)Carbamoyl]-2-Methyl-Propyl]Pyrrolidine-2-Carboxamide
分子结构 CAS 登录号:144334-52-1, 1-[19-氨基-7,10-二(2-氨基-2-氧代乙基)-13-丁烷-2-基-16-[(4-羟基苯基)甲基]-6,9,12,15,18-五氧代-1,2-二硫杂-5,8,11,14,17-五氮杂环二十烷-4-羰基]-N-[1-[(2-氨基-2-氧代乙基)氨基]-3-甲基-1-氧代丁烷-2-基]吡咯烷-2-甲酰胺
分子式 C41H62N12O12S2
分子量 979.13
CAS 登录号 144334-52-1
分子行输入简码 SMILES C3=C(CC1NC(=O)C(N)CSSCC(NC(=O)C(NC(=O)C(NC(=O)C(NC1=O)C(CC)C)CC(=O)N)CC(=O)N)C(=O)N2C(C(=O)NC(C(=O)NCC(=O)N)C(C)C)CCC2)C=CC(=C3)O
国际化学标识码 InChI 1S/C41H62N12O12S2/c1-5-20(4)33-40(64)49-26(15-30(44)56)35(59)48-25(14-29(43)55)36(60)50-27(41(65)53-12-6-7-28(53)38(62)51-32(19(2)3)39(63)46-16-31(45)57)18-67-66-17-23(42)34(58)47-24(37(61)52-33)13-21-8-10-22(54)11-9-21/h8-11,19-20,23-28,32-33,54H,5-7,12-18,42H2,1-4H3,(H2,43,55)(H2,44,56)(H2,45,57)(H,46,63)(H,47,58)(H,48,59)(H,49,64)(H,50,60)(H,51,62)(H,52,61)
国际化学标识检索码 InChIKey GUXCJKRYHLCHKV-UHFFFAOYSA-N
物理化学性质
密度 1.289g/cm3 (计算值)
沸点 1543.636°C at 760 mmHg (计算值)
闪点 887.359°C (计算值)
市场分析报告
请浏览1-[19-氨基-7,10-二(2-氨基-2-氧代乙基)-13-丁烷-2-基-16-[(4-羟基苯基)甲基]-6,9,12,15,18-五氧代-1,2-二硫杂-5,8,11,14,17-五氮杂环二十烷-4-羰基]-N-[1-[(2-氨基-2-氧代乙基)氨基]-3-甲基-1-氧代丁烷-2-基]吡咯烷-2-甲酰胺市场分析报告总目录
相关产品
1-[19-氨基-7,10-二(2-氨基-2-氧代...  3-氟丙烷-1-磺酸酯  2,2'-[[[4-(氨基羰基)苯基]砷亚基]二(...  氰基铁酸铁  3,3-二{[(二甲基氨基)硫代甲酰]硫代}-N,...  二(2,4-二甲基吡啶)二氯铜酸盐(II)  3,9-二(苯氧基)-2,4,8,10-四氧杂-3...  N-(1-苯乙基-4-哌啶基)丙酰苯胺盐酸盐  [(3S,6S,8R,9S,10R,13S,14S...  6-氨基-2,4(3H,5H)-嘧啶二酮  6alpha-脱氧-6alpha-(4-((六氢-...  甲基对甲苯磺酰基氨基甲酸酯  N,5-二甲基-2-[4-甲基-2-[4-甲基-2...  [(1R,2S,3S,4S,5R,6S)-5-氟-...  燕麦酯