Online Database of Chemicals from Around the World

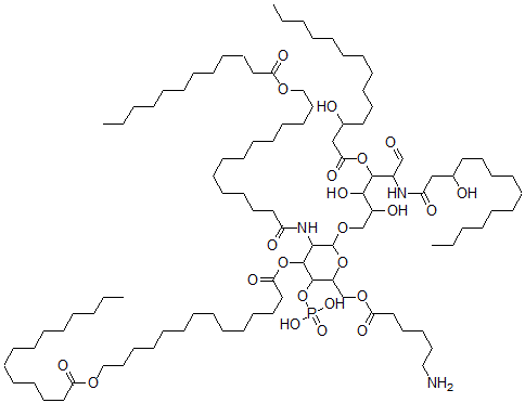
[2-(6-氨基己酰氧基甲基)-6-[2,3-二羟基-5-(3-羟基十四烷酰基氨基)-4-(3-羟基十四烷酰基氧基)-6-氧代己氧基]-5-(14-月桂酰氧基十四烷酰氨基)-3-膦酰氧基四氢吡喃-4-基]14-十四烷酰氧基十四烷酸酯
[CAS# 144710-90-7]

供应商
CAS#: 144710-90-7
产品: [2-(6-氨基己酰氧基甲基)-6-[2,3-二羟基-5-(3-羟基十四烷酰基氨基)-4-(3-羟基十四烷酰基氧基)-6-氧代己氧基]-5-(14-月桂酰氧基十四烷酰氨基)-3-膦酰氧基四氢吡喃-4-基]14-十四烷酰氧基十四烷酸酯
暂时没有厂家供应该产品。
基本信息
产品名称 [2-(6-氨基己酰氧基甲基)-6-[2,3-二羟基-5-(3-羟基十四烷酰基氨基)-4-(3-羟基十四烷酰基氧基)-6-氧代己氧基]-5-(14-月桂酰氧基十四烷酰氨基)-3-膦酰氧基四氢吡喃-4-基]14-十四烷酰氧基十四烷酸酯
英文名 [2-(6-Aminohexanoyloxymethyl)-6-[2,3-Dihydroxy-5-(3-Hydroxytetradecanoylamino)-4-(3-Hydroxytetradecanoyloxy)-6-Oxohexoxy]-5-(14-Dodecanoyloxytetradecanoylamino)-3-Phosphonooxyoxan-4-Yl] 14-Tetradecanoyloxytetradecanoate
别名 [2-(6-Aminohexanoyloxymethyl)-6-[2,3-Dihydroxy-5-(3-Hydroxytetradecanoylamino)-4-(3-Hydroxytetradecanoyloxy)-6-Oxo-Hexoxy]-5-(14-Dodecanoyloxytetradecanoylamino)-3-Phosphonooxy-Tetrahydropyran-4-Yl] 14-Tetradecanoyloxytetradecanoate; 14-(1-Oxotetradecoxy)Tetradecanoic Acid [2-[(6-Amino-1-Oxohexoxy)Methyl]-6-[2,3-Dihydroxy-4-(3-Hydroxy-1-Oxotetradecoxy)-5-[(3-Hydroxy-1-Oxotetradecyl)Amino]-6-Oxohexoxy]-5-[[1-Oxo-14-(1-Oxododecoxy)Tetradecyl]Amino]-3-Phosphonooxy-4-Tetrahydropyranyl] Ester; Lauric Acid [14-[[6-(6-Aminohexanoyloxymethyl)-2-[2,3-Dihydroxy-5-(3-Hydroxytetradecanoylamino)-4-(3-Hydroxytetradecanoyloxy)-6-Keto-Hexoxy]-5-Phosphonooxy-4-(14-Tetradecanoyloxytetradecanoyloxy)Tetrahydropyran-3-Yl]Amino]-14-Keto-Tetradecyl] Ester
分子结构 CAS 登录号:144710-90-7, [2-(6-氨基己酰氧基甲基)-6-[2,3-二羟基-5-(3-羟基十四烷酰基氨基)-4-(3-羟基十四烷酰基氧基)-6-氧代己氧基]-5-(14-月桂酰氧基十四烷酰氨基)-3-膦酰氧基四氢吡喃-4-基]14-十四烷酰氧基十四烷酸酯
分子式 C100H188N3O23P
分子量 1831.57
CAS 登录号 144710-90-7
分子行输入简码 SMILES C(CCCCCCCCCCCC)C(OCCCCCCCCCCCCCC(OC1C(NC(=O)CCCCCCCCCCCCCOC(CCCCCCCCCCC)=O)C(OC(C1O[P](O)(O)=O)COC(=O)CCCCCN)OCC(C(C(OC(=O)CC(O)CCCCCCCCCCC)C(C=O)NC(CC(O)CCCCCCCCCCC)=O)O)O)=O)=O
国际化学标识码 InChI 1S/C100H188N3O23P/c1-5-9-13-17-21-25-28-37-45-53-62-72-91(111)120-77-67-56-48-40-32-27-30-38-46-54-63-74-93(113)124-99-95(103-88(108)70-60-51-43-36-29-26-31-39-47-55-66-76-119-90(110)71-61-52-44-35-24-20-16-12-8-4)100(123-87(98(99)126-127(116,117)118)82-121-92(112)73-64-57-65-75-101)122-81-86(107)96(115)97(125-94(114)79-84(106)69-59-50-42-34-23-19-15-11-7-3)85(80-104)102-89(109)78-83(105)68-58-49-41-33-22-18-14-10-6-2/h80,83-87,95-100,105-107,115H,5-79,81-82,101H2,1-4H3,(H,102,109)(H,103,108)(H2,116,117,118)
国际化学标识检索码 InChIKey ZJJXFJIGNRGLSI-UHFFFAOYSA-N
市场分析报告
请浏览[2-(6-氨基己酰氧基甲基)-6-[2,3-二羟基-5-(3-羟基十四烷酰基氨基)-4-(3-羟基十四烷酰基氧基)-6-氧代己氧基]-5-(14-月桂酰氧基十四烷酰氨基)-3-膦酰氧基四氢吡喃-4-基]14-十四烷酰氧基十四烷酸酯市场分析报告总目录
相关产品
甲基2,2-二氯-1-甲基环丙烷羧酸酯  2,2-二氯-1-甲基环丙烷羧酸  [(Z)-4-[甲酰基-[(2-甲基-4-氧代-3...  对甲苯磺酸铝  5-甲基-4-庚烯-3-酮  (3E,5Z,7R,8R,9S,10S,11R,1...  (2S)-1-[(2S)-2-[[(3R)-3,7...  1-[2-[(3,7-二氨基-2-羟基庚酰)氨基]...  5,8-二氯-2-甲基-4-喹啉醇  10,13-二甲基-2,3,4,7,8,9,11,...  替维瑞克  5-亚氨基-N,N-二甲基-4,4-二苯基庚烷-2...  4-乙氧基吡啶N-氧化物  3-苄基-6-异丙基-2,5-哌嗪二酮  [2-羟基-5-[(1R)-1-羟基-2-甲基氨基...