Online Database of Chemicals from Around the World

生物素-36-脱氧三磷酸胞苷
[CAS# 145396-05-0]

供应商
CAS#: 145396-05-0
产品: 生物素-36-脱氧三磷酸胞苷
暂时没有厂家供应该产品。
基本信息
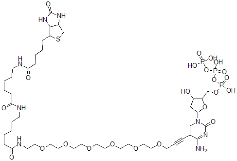
产品名称 生物素-36-脱氧三磷酸胞苷
英文名 Biotin-36-dctp
别名 [5-[4-Amino-2-Oxo-5-[3-[2-[2-[2-[2-[2-[2-[6-[6-[5-(2-Oxo-1,3,3A,4,6,6A-Hexahydrothieno[3,4-D]Imidazol-6-Yl)Pentanoylamino]Hexanoylamino]Hexanoylamino]Ethoxy]Ethoxy]Ethoxy]Ethoxy]Ethoxy]Ethoxy]Prop-1-Ynyl]Pyrimidin-1-Yl]-3-Hydroxy-Tetrahydrofuran-2-Yl]Methyl (Hydroxy-Phosphonooxy-Phosphoryl) Hydrogen Phosphate; [5-[4-Amino-2-Oxo-5-[3-[2-[2-[2-[2-[2-[2-[[1-Oxo-6-[[1-Oxo-6-[[1-Oxo-5-(2-Oxo-1,3,3A,4,6,6A-Hexahydrothieno[3,4-D]Imidazol-6-Yl)Pentyl]Amino]Hexyl]Amino]Hexyl]Amino]Ethoxy]Ethoxy]Ethoxy]Ethoxy]Ethoxy]Ethoxy]Prop-1-Ynyl]-1-Pyrimidinyl]-3-Hydroxy-2-Tetrahydrofuranyl]Methyl (Hydroxy-Phosphonooxyphosphoryl) Hydrogen Phosphate; [5-[4-Amino-2-Keto-5-[3-[2-[2-[2-[2-[2-[2-[6-[6-[5-(2-Keto-1,3,3A,4,6,6A-Hexahydrothieno[3,4-D]Imidazol-6-Yl)Pentanoylamino]Hexanoylamino]Hexanoylamino]Ethoxy]Ethoxy]Ethoxy]Ethoxy]Ethoxy]Ethoxy]Prop-1-Ynyl]Pyrimidin-1-Yl]-3-Hydroxy-Tetrahydrofuran-2-Yl]Methyl (Hydroxy-Phosphonooxy-Phosphoryl) Hydrogen Phosphate
分子结构 CAS 登录号:145396-05-0, 生物素-36-脱氧三磷酸胞苷
分子式 C46H79N8O23P3S
分子量 1237.15
CAS 登录号 145396-05-0
分子行输入简码 SMILES C(O[P](O[P](O[P](=O)(O)O)(=O)O)(=O)O)C4OC(N1C(=O)N=C(N)C(=C1)C#CCOCCOCCOCCOCCOCCOCCNC(=O)CCCCCNC(=O)CCCCCNC(=O)CCCCC2SCC3NC(=O)NC23)CC4O
国际化学标识码 InChI 1S/C46H79N8O23P3S/c47-44-34(31-54(46(60)53-44)42-30-36(55)37(75-42)32-74-79(64,65)77-80(66,67)76-78(61,62)63)10-9-18-68-20-22-70-24-26-72-28-29-73-27-25-71-23-21-69-19-17-50-41(58)13-4-2-8-15-48-39(56)12-3-1-7-16-49-40(57)14-6-5-11-38-43-35(33-81-38)51-45(59)52-43/h31,35-38,42-43,55H,1-8,11-30,32-33H2,(H,48,56)(H,49,57)(H,50,58)(H,64,65)(H,66,67)(H2,47,53,60)(H2,51,52,59)(H2,61,62,63)
国际化学标识检索码 InChIKey SKUVIJKENNLWRT-UHFFFAOYSA-N
市场分析报告
请浏览生物素-36-脱氧三磷酸胞苷市场分析报告总目录
相关产品
4-氨基-5-氟-1-[(2S,4S)-2-(羟基...  (3R,6R)-3-羟基-6-甲基氨基-6-(2-...  2-羟基-5-甲氧基-3-[(E)-3-甲基-5-...  (E)-2-氨基-3,4,5-三羟基-2-(羟基甲...  (E)-2-氨基-3,4,5-三羟基-2-甲基-1...  5-乙酰氨基-2-[[10,13-二甲基-17-(...  3-[2-羟基-7-[5-[(E)-1,4,5-三...  三-新-戊基亚磷酸盐  3-[2,6-二(丙-2-基)苯基]-1-(4-苯...  1-(环己基甲基)-3-(2,6-二乙基苯基)-1...  2-(beta,beta-二乙氧羰基苯乙基)吡啶鎓...  1-氨基-4-[(2-乙烯基磺酰基苯基)氨基]-9...  3-[[3-[4-(十六烷氧基)苯基]-1,3-二...  1-(1-羟基-5,6-二氢-2H-吡啶-3-基)...  1-(1-羟基-5,6-二氢-2H-吡啶-3-基)...