Online Database of Chemicals from Around the World

(2S)-2-[[(2S,3R)-2-[[(2S)-2-[[(2R,3R,4S,5R)-3,5-Dihydroxy-2,4-Dimethyloctadecanoyl]Amino]-3,3-Dimethylpent-4-Enoyl]Amino]-3-Hydroxybutanoyl]Amino]-3-Oxopropanoic Acid
[CAS# 147334-90-5]

Suppliers
CAS#: 147334-90-5
Product: (2S)-2-[[(2S,3R)-2-[[(2S)-2-[[(2R,3R,4S,5R)-3,5-Dihydroxy-2,4-Dimethyloctadecanoyl]Amino]-3,3-Dimethylpent-4-Enoyl]Amino]-3-Hydroxybutanoyl]Amino]-3-Oxopropanoic Acid
No suppilers available for the product.
Identification
Name (2S)-2-[[(2S,3R)-2-[[(2S)-2-[[(2R,3R,4S,5R)-3,5-Dihydroxy-2,4-Dimethyloctadecanoyl]Amino]-3,3-Dimethylpent-4-Enoyl]Amino]-3-Hydroxybutanoyl]Amino]-3-Oxopropanoic Acid
Synonyms (2S)-2-[[(2S,3R)-2-[[(2S)-2-[[(2R,3R,4S,5R)-3,5-Dihydroxy-2,4-Dimethyl-Octadecanoyl]Amino]-3,3-Dimethyl-Pent-4-Enoyl]Amino]-3-Hydroxy-Butanoyl]Amino]-3-Oxo-Propanoic Acid; (2S)-2-[[(2S,3R)-2-[[(2S)-2-[[(2R,3R,4S,5R)-3,5-Dihydroxy-2,4-Dimethyl-1-Oxooctadecyl]Amino]-3,3-Dimethyl-1-Oxopent-4-Enyl]Amino]-3-Hydroxy-1-Oxobutyl]Amino]-3-Oxopropanoic Acid; (2S)-2-[[(2S,3R)-2-[[(2S)-2-[[(2R,3R,4S,5R)-3,5-Dihydroxy-2,4-Dimethyl-Octadecanoyl]Amino]-3,3-Dimethyl-Pent-4-Enoyl]Amino]-3-Hydroxy-Butanoyl]Amino]-3-Keto-Propionic Acid
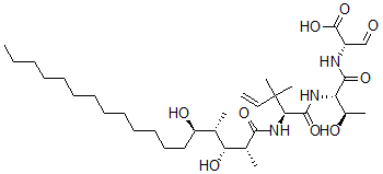
Molecular Structure CAS#: 147334-90-5, (2S)-2-[[(2S,3R)-2-[[(2S)-2-[[(2R,3R,4S,5R)-3,5-Dihydroxy-2,4-Dimethyloctadecanoyl]Amino]-3,3-Dimethylpent-4-Enoyl]Amino]-3-Hydroxybutanoyl]Amino]-3-Oxopropanoic Acid
Molecular Formula C34H61N3O9
Molecular Weight 655.87
CAS Registry Number 147334-90-5
SMILES [C@H](C(=O)O)(NC([C@@H](NC([C@@H](NC([C@@H]([C@@H]([C@H]([C@@H](CCCCCCCCCCCCC)O)C)O)C)=O)C(C)(C)C=C)=O)[C@@H](C)O)=O)C=O
InChI 1S/C34H61N3O9/c1-8-10-11-12-13-14-15-16-17-18-19-20-26(40)22(3)28(41)23(4)30(42)37-29(34(6,7)9-2)32(44)36-27(24(5)39)31(43)35-25(21-38)33(45)46/h9,21-29,39-41H,2,8,10-20H2,1,3-7H3,(H,35,43)(H,36,44)(H,37,42)(H,45,46)/t22-,23+,24+,25-,26+,27-,28+,29+/m0/s1
InChIKey HIRFPWCSYAMYPE-RYUAEMIRSA-N
Properties
Density 1.111g/cm3 (Cal.)
Boiling point 895.37°C at 760 mmHg (Cal.)
Flash point 495.302°C (Cal.)
Market Analysis Reports
List of Reports Available for (2S)-2-[[(2S,3R)-2-[[(2S)-2-[[(2R,3R,4S,5R)-3,5-Dihydroxy-2,4-Dimethyloctadecanoyl]Amino]-3,3-Dimethylpent-4-Enoyl]Amino]-3-Hydroxybutanoyl]Amino]-3-Oxopropanoic Acid
Related Products
[(2R,3S)-3-Amino-4-[[(2S)-2-[[(E,2R,3R,4...  5-(Trifluoromethyl)Benzoxazol-2(3H)-One  5-Chloro-3-[3-[4-(2-Hydroxyethyl)Piperaz...  3-[3-[4-(2-Hydroxyethyl)Piperazin-1-Yl]P...  3-(Isothiocyanatomethyl)Pyridine Hydrobr...  Tert-Butyl Methyl Succinate  1-Phenyl-2-(2,3,3-Trimethyl-1-Cyclopente...  10,11-Dihydroxy-N-(11C)Methylnorapomorph...  [3-[(4-Iodophenyl)Sulfonylamino]Phenyl]B...  [3-[(5-Dimethylamino-6-Iodonaphthalen-1-...  4-Chloro-6-Methoxy-1-Nitrosoindole  N-Salicylidene-3-Aminocoumarin  8-Methoxy-1,4a-Dimethyl-7-Propan-2-Yl-4,...  2-Ethylchromone  (5S,10Z)-5-Propyl-1-Oxa-4-Azacyclopentad...