Online Database of Chemicals from Around the World

[3-[[(2S)-5-(4-氨基-2-氧代嘧啶-1-基)四氢呋喃-2-基]甲氧基-羟基磷酰]氧基-2-[(Z)-十八碳-9-烯酰基]氧基丙基](Z)-十八碳-9-烯酸酯
[CAS# 147556-77-2]

供应商
CAS#: 147556-77-2
产品: [3-[[(2S)-5-(4-氨基-2-氧代嘧啶-1-基)四氢呋喃-2-基]甲氧基-羟基磷酰]氧基-2-[(Z)-十八碳-9-烯酰基]氧基丙基](Z)-十八碳-9-烯酸酯
暂时没有厂家供应该产品。
基本信息
产品名称 [3-[[(2S)-5-(4-氨基-2-氧代嘧啶-1-基)四氢呋喃-2-基]甲氧基-羟基磷酰]氧基-2-[(Z)-十八碳-9-烯酰基]氧基丙基](Z)-十八碳-9-烯酸酯
英文名 [3-[[(2S)-5-(4-Amino-2-Oxopyrimidin-1-Yl)Oxolan-2-Yl]Methoxy-Hydroxyphosphoryl]Oxy-2-[(Z)-Octadec-9-Enoyl]Oxypropyl] (Z)-Octadec-9-Enoate
别名 [3-[[(2S)-5-(4-Amino-2-Oxo-Pyrimidin-1-Yl)Tetrahydrofuran-2-Yl]Methoxy-Hydroxy-Phosphoryl]Oxy-2-[(Z)-Octadec-9-Enoyl]Oxy-Propyl] (Z)-Octadec-9-Enoate; (Z)-Octadec-9-Enoic Acid [3-[[(2S)-5-(4-Amino-2-Oxo-1-Pyrimidinyl)-2-Tetrahydrofuranyl]Methoxy-Hydroxyphosphoryl]Oxy-2-[(Z)-1-Oxooctadec-9-Enoxy]Propyl] Ester; (Z)-Octadec-9-Enoic Acid [3-[[(2S)-5-(4-Amino-2-Keto-Pyrimidin-1-Yl)Tetrahydrofuran-2-Yl]Methoxy-Hydroxy-Phosphoryl]Oxy-2-[(Z)-Octadec-9-Enoyl]Oxy-Propyl] Ester
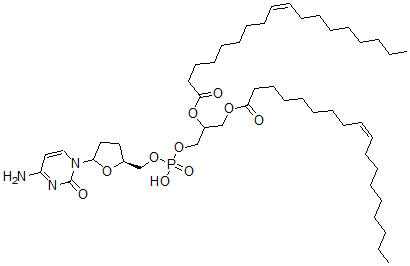
分子结构 CAS 登录号:147556-77-2, [3-[[(2S)-5-(4-氨基-2-氧代嘧啶-1-基)四氢呋喃-2-基]甲氧基-羟基磷酰]氧基-2-[(Z)-十八碳-9-烯酰基]氧基丙基](Z)-十八碳-9-烯酸酯
分子式 C48H84N3O10P
分子量 894.18
CAS 登录号 147556-77-2
分子行输入简码 SMILES [C@@H]2(OC(N1C(=O)N=C(N)C=C1)CC2)CO[P](OCC(OC(=O)CCCCCCC\C=C/CCCCCCCC)COC(=O)CCCCCCC\C=C/CCCCCCCC)(=O)O
国际化学标识码 InChI 1S/C48H84N3O10P/c1-3-5-7-9-11-13-15-17-19-21-23-25-27-29-31-33-46(52)57-39-43(61-47(53)34-32-30-28-26-24-22-20-18-16-14-12-10-8-6-4-2)41-59-62(55,56)58-40-42-35-36-45(60-42)51-38-37-44(49)50-48(51)54/h17-20,37-38,42-43,45H,3-16,21-36,39-41H2,1-2H3,(H,55,56)(H2,49,50,54)/b19-17-,20-18-/t42-,43?,45?/m0/s1
国际化学标识检索码 InChIKey FYWMPROSVIHQFQ-XVSOQNEDSA-N
物理化学性质
密度 1.124g/cm3 (计算值)
沸点 879.907°C at 760 mmHg (计算值)
闪点 485.95°C (计算值)
市场分析报告
请浏览[3-[[(2S)-5-(4-氨基-2-氧代嘧啶-1-基)四氢呋喃-2-基]甲氧基-羟基磷酰]氧基-2-[(Z)-十八碳-9-烯酰基]氧基丙基](Z)-十八碳-9-烯酸酯市场分析报告总目录
相关产品
3,3-二甲基-7-氧代-6-[2-(苯氧基)丙酰...  3-(1,3-苯并二氧戊环-5-基)丙烯醛  6-(溴甲基)-4-甲基-2-氧代-1,2,3,4...  1,3-二氯-N,N-二甲基-丙-2-胺  (1S,2R,5R)-2-羟基-2-[(3E,6E...  2-二甲基氨基-2-苯基-乙烷酸  氧哌达嗪  2-(异丙基氧基)-10-[2-(1-甲基-2-哌...  磺达嗪  1-(2-哌啶-4-基-乙基)-哌啶  2-[3-[2-[4,5-二(苯基)-1,3-恶唑...  2-[(4-甲氧基-2,3,6-三甲基苯基)磺酰基...  2-[(5Z)-4,7-二(羧甲基)-3-[(4-...  2,2,5,5-四甲基-1,3-二氧杂-2-硅杂环...  2,2-二甲基-1,3-二氧杂-2-硅杂环己烷-5...