Online Database of Chemicals from Around the World

(11)-分子内 1,3''-11-((O-6-脱氧-alpha-L-甘露糖基-(1-3)-O-6-脱氧-2,4-二-O-((2S)-2-甲基-1-氧代丁基)-alpha-L-吡喃甘露糖基-(1-2)-O-beta-D-吡喃葡萄糖基-(1-2)-6-脱氧-beta-D-吡喃半乳糖基)氧基)十六烷酸酯
[CAS# 149155-65-7]

供应商
CAS#: 149155-65-7
产品: (11)-分子内 1,3''-11-((O-6-脱氧-alpha-L-甘露糖基-(1-3)-O-6-脱氧-2,4-二-O-((2S)-2-甲基-1-氧代丁基)-alpha-L-吡喃甘露糖基-(1-2)-O-beta-D-吡喃葡萄糖基-(1-2)-6-脱氧-beta-D-吡喃半乳糖基)氧基)十六烷酸酯
暂时没有厂家供应该产品。
基本信息
产品名称 (11)-分子内 1,3''-11-((O-6-脱氧-alpha-L-甘露糖基-(1-3)-O-6-脱氧-2,4-二-O-((2S)-2-甲基-1-氧代丁基)-alpha-L-吡喃甘露糖基-(1-2)-O-beta-D-吡喃葡萄糖基-(1-2)-6-脱氧-beta-D-吡喃半乳糖基)氧基)十六烷酸酯
英文名 (11)-Intramol 1,3''-11-((O-6-Deoxy-alpha-L-Mannopyranosyl-(1-3)-O-6-Deoxy-2,4-Bis-O-((2S)-2-Methyl-1-Oxobutyl)-alpha-L-Manopyranosyl-(1-2)-O-beta-D-Glucopyranosyl-(1-2)-6-Deoxy-beta-D-Galactopyranosyl)Oxy)Hexadecanoate
别名 (11S)-Hydroxyhexadecanoic Acid 11-O-Alpha-L-Rhamnopyranosyl-(1-3)-O-Alpha-L-(2-O-(2S-Methylbutyryl)-4-O-(2S-Methylbutyryl))Rhamnopyranosyl-(1-2)-O-Beta-D-Glucopyranosyl-(1-2)-Beta-D-Fucopyranoside-(1,3''-Lactone); (11S)-Intramol. 1,3''-11-((O-6-Deoxy-Alpha-L-Mannopyranosyl-(1-3)-O-6-Deoxy-2,4-Bis-O-((2S)-2-Methyl-1-Oxobutyl)-Alpha-L-Mannopyranosyl-(1-2)-O-Beta-D-Glucopyranosyl-(1-2)-6-Deoxy-Beta-D-Galactopyranosyl)Oxy)Hexadecanoate; Hexadecanoic Acid, 11-((O-6-Deoxy-Alpha-L-Mannopyranosyl-(1-3)-O-6-Deoxy-2,4-Bis-O-((2S)-2-Methyl-1-Oxobutyl)-Alpha-L-Mannopyranosyl-(1-2)-O-Beta-D-Glucopyranosyl-(1-2)-6-Deoxy-Beta-D-Galactopyranosyl)Oxy)-, Intramol. 1,3''-Ester, (11S)-
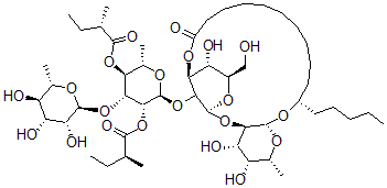
分子结构 CAS 登录号:149155-65-7, (11)-分子内 1,3''-11-((O-6-脱氧-alpha-L-甘露糖基-(1-3)-O-6-脱氧-2,4-二-O-((2S)-2-甲基-1-氧代丁基)-alpha-L-吡喃甘露糖基-(1-2)-O-beta-D-吡喃葡萄糖基-(1-2)-6-脱氧-beta-D-吡喃半乳糖基)氧基)十六烷酸酯
分子式 C50H86O21
分子量 1023.22
CAS 登录号 149155-65-7
分子行输入简码 SMILES [C@H]12O[C@@H]3O[C@@H]([C@@H](O)[C@H](OC(=O)CCCCCCCCC[C@@H](O[C@@H]1O[C@@H]([C@H](O)[C@@H]2O)C)CCCCC)C3O[C@@H]5O[C@H]([C@H](OC(=O)[C@H](CC)C)[C@@H](O[C@@H]4O[C@H]([C@H](O)[C@@H](O)[C@H]4O)C)[C@H]5OC(=O)[C@H](CC)C)C)CO
国际化学标识码 InChI 1S/C50H86O21/c1-9-12-18-21-30-22-19-16-14-13-15-17-20-23-32(52)66-40-35(55)31(24-51)65-50(69-41-37(57)34(54)28(7)62-48(41)64-30)43(40)71-49-44(68-46(60)26(5)11-3)42(39(29(8)63-49)67-45(59)25(4)10-2)70-47-38(58)36(56)33(53)27(6)61-47/h25-31,33-44,47-51,53-58H,9-24H2,1-8H3/t25-,26-,27-,28+,29-,30-,31+,33-,34-,35+,36+,37-,38+,39-,40-,41+,42+,43?,44+,47-,48-,49-,50-/m0/s1
国际化学标识检索码 InChIKey DWBKNMQALHFQLC-NAJXRQGXSA-N
物理化学性质
密度 1.288g/cm3 (计算值)
沸点 1038.237°C at 760 mmHg (计算值)
闪点 285.702°C (计算值)
市场分析报告
请浏览(11)-分子内 1,3''-11-((O-6-脱氧-alpha-L-甘露糖基-(1-3)-O-6-脱氧-2,4-二-O-((2S)-2-甲基-1-氧代丁基)-alpha-L-吡喃甘露糖基-(1-2)-O-beta-D-吡喃葡萄糖基-(1-2)-6-脱氧-beta-D-吡喃半乳糖基)氧基)十六烷酸酯市场分析报告总目录
相关产品
(2R,3S,4S,5R,6R)-2-[[(2R,...  [3,4-二羟基-5-[[3,4,5-三羟基-6-...  布他卡因  3-庚炔-1-醇  2-(4-氯苯基)-3-硝基丙烷-1-胺  [(Z)-1,1,1-三氟-4-氧代-4-苯基丁-...  [(E)-1,1,1-三氟-4-氧代-4-苯基丁-...  甲基 alpha-L-吡喃鼠李糖苷  异烟腙  勃金刚酯  越霉素A  (3S,6aR,6bS,8aR,9R,14aR,1...  雷公藤内酯二醇酮  安替比林基偶氮 III  DL-左甲状腺素钠盐