Online Database of Chemicals from Around the World

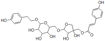
[3,4-Dihydroxy-5-[[3,4,5-Trihydroxy-6-[2-(4-Hydroxyphenyl)Ethoxy]Oxan-2-Yl]Methoxy]Oxolan-3-Yl]Methyl (E)-3-(4-Hydroxyphenyl)Prop-2-Enoate
[CAS# 149155-71-5]

Suppliers
CAS#: 149155-71-5
Product: [3,4-Dihydroxy-5-[[3,4,5-Trihydroxy-6-[2-(4-Hydroxyphenyl)Ethoxy]Oxan-2-Yl]Methoxy]Oxolan-3-Yl]Methyl (E)-3-(4-Hydroxyphenyl)Prop-2-Enoate
No suppilers available for the product.
Identification
Name [3,4-Dihydroxy-5-[[3,4,5-Trihydroxy-6-[2-(4-Hydroxyphenyl)Ethoxy]Oxan-2-Yl]Methoxy]Oxolan-3-Yl]Methyl (E)-3-(4-Hydroxyphenyl)Prop-2-Enoate
Synonyms [3,4-Dihydroxy-5-[[3,4,5-Trihydroxy-6-[2-(4-Hydroxyphenyl)Ethoxy]Tetrahydropyran-2-Yl]Methoxy]Tetrahydrofuran-3-Yl]Methyl (E)-3-(4-Hydroxyphenyl)Prop-2-Enoate; (E)-3-(4-Hydroxyphenyl)Prop-2-Enoic Acid [3,4-Dihydroxy-5-[[3,4,5-Trihydroxy-6-[2-(4-Hydroxyphenyl)Ethoxy]-2-Tetrahydropyranyl]Methoxy]-3-Tetrahydrofuranyl]Methyl Ester; (E)-3-(4-Hydroxyphenyl)Acrylic Acid [3,4-Dihydroxy-5-[[3,4,5-Trihydroxy-6-[2-(4-Hydroxyphenyl)Ethoxy]Tetrahydropyran-2-Yl]Methoxy]Tetrahydrofuran-3-Yl]Methyl Ester
Molecular Structure CAS#: 149155-71-5, [3,4-Dihydroxy-5-[[3,4,5-Trihydroxy-6-[2-(4-Hydroxyphenyl)Ethoxy]Oxan-2-Yl]Methoxy]Oxolan-3-Yl]Methyl (E)-3-(4-Hydroxyphenyl)Prop-2-Enoate
Molecular Formula C28H34O13
Molecular Weight 578.57
CAS Registry Number 149155-71-5
SMILES C4=C(CCOC1OC(C(O)C(O)C1O)COC2OCC(O)(C2O)COC(=O)\C=C\C3=CC=C(O)C=C3)C=CC(=C4)O
InChI 1S/C28H34O13/c29-18-6-1-16(2-7-18)5-10-21(31)39-14-28(36)15-40-27(25(28)35)38-13-20-22(32)23(33)24(34)26(41-20)37-12-11-17-3-8-19(30)9-4-17/h1-10,20,22-27,29-30,32-36H,11-15H2/b10-5+
InChIKey IGGZLIGWWTVKMJ-BJMVGYQFSA-N
Properties
Density 1.532g/cm3 (Cal.)
Boiling point 846.322°C at 760 mmHg (Cal.)
Flash point 277.935°C (Cal.)
Market Analysis Reports
List of Reports Available for [3,4-Dihydroxy-5-[[3,4,5-Trihydroxy-6-[2-(4-Hydroxyphenyl)Ethoxy]Oxan-2-Yl]Methoxy]Oxolan-3-Yl]Methyl (E)-3-(4-Hydroxyphenyl)Prop-2-Enoate
Related Products
Butacaine  3-Heptyn-1-Ol  2-(4-Chlorophenyl)-3-Nitropropan-1-Amine  [(Z)-1,1,1-Trifluoro-4-Oxo-4-Phenylbut-2...  [(E)-1,1,1-Trifluoro-4-Oxo-4-Phenylbut-2...  Methyl alpha-L-Rhamnopyranoside  Ftivazide  Bolmantalate  Destomycin A  (3S,6aR,6bS,8aR,9R,14aR,14bS)-4,4,6a,6b,...  Tripdioltonide  Antipyrylazo III  DL-Thyroxine Sodium Salt  Hexanoylcarnitine  Octanoyl-DL-Carnitin Chloride