Online Database of Chemicals from Around the World

去铁敏beta-丁二酰-苯丙氨酸(1)-奥曲肽
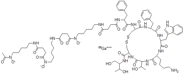
[CAS# 151956-24-0]

供应商
CAS#: 151956-24-0
产品: 去铁敏beta-丁二酰-苯丙氨酸(1)-奥曲肽
暂时没有厂家供应该产品。
基本信息
产品名称 去铁敏beta-丁二酰-苯丙氨酸(1)-奥曲肽
英文名 Desferrioxamine beta-Succinyl-Phenylalanine(1)-Octreotide
别名 Dfo-Sms; Gallium (67)-Dfo-Sms; Gallium (68)-Dfo-Sms
分子结构 CAS 登录号:151956-24-0, 去铁敏beta-丁二酰-苯丙氨酸(1)-奥曲肽
分子式 C78H113GaN16O20S2
分子量 1728.69
CAS 登录号 151956-24-0
分子行输入简码 SMILES [68Ga+3].C1=C(C=CC=C1)CC(C(NC5C(NC(CC2=CC=CC=C2)C(NC(CC3=C[NH]C4=C3C=CC=C4)C(=O)NC(C(=O)NC(C(O)C)C(=O)NC(C(NC(C(O)C)CO)=O)CSSC5)CCCCN)=O)=O)=O)NC(=O)CCC(NCCCCCN([O-])C(=O)CCC(=O)NCCCCCN([O-])C(CCC(NCCCCCN([O-])C(=O)C)=O)=O)=O
国际化学标识码 InChI 1S/C78H113N16O20S2.Ga/c1-50(96)62(47-95)88-77(110)64-49-116-115-48-63(76(109)86-60(44-54-25-11-5-12-26-54)74(107)87-61(45-55-46-83-57-28-14-13-27-56(55)57)75(108)85-58(29-15-16-36-79)72(105)91-71(51(2)97)78(111)90-64)89-73(106)59(43-53-23-9-4-10-24-53)84-68(102)31-30-65(99)80-37-18-7-21-41-93(113)70(104)35-33-67(101)82-39-19-8-22-42-94(114)69(103)34-32-66(100)81-38-17-6-20-40-92(112)52(3)98;/h4-5,9-14,23-28,46,50-51,58-64,71,83,95-97H,6-8,15-22,29-45,47-49,79H2,1-3H3,(H,80,99)(H,81,100)(H,82,101)(H,84,102)(H,85,108)(H,86,109)(H,87,107)(H,88,110)(H,89,106)(H,90,111)(H,91,105);/q-3;+3/i;1-2
国际化学标识检索码 InChIKey RTRNGKJCEFNFNZ-ZQSXMSGHSA-N
市场分析报告
请浏览去铁敏beta-丁二酰-苯丙氨酸(1)-奥曲肽市场分析报告总目录
相关产品
锝-99 6-(4-硫脲苄基)-3,3,9,9-四...  (4S)-4-[[(2S)-2-氨基-5-羟基-5...  (4S)-4-[[(2S)-2-(9H-芴-9-基...  2-[(Z)-2-苯基乙烯基]吡啶  (S)-3-Z-氨基-1-重氮基-3-苯基-2-丁...  (2R,4S,5R,6R)-5-乙酰氨基-2-[[...  丁二酰二硫代胆碱  二十八烷酸2,2-二甲基-1,3-丙烷二基酯  1,4-亚苯基二(硫脲)  1,1'-(4-甲基-1,3-亚苯基)二硫脲  2-羟基-3-甲基苯甲酰氯  (8R,9S,13S,14S)-17-[(E)-2...  4-氨基-5-氯-2-乙氧基-N-(吗啉-2-基甲...  (4aR,5R,6aR,6aS,6bR,8aR,1...  (6beta,7beta,8beta,10beta...