Online Database of Chemicals from Around the World

铁色素
[CAS# 15258-80-7]

供应商
CAS#: 15258-80-7
产品: 铁色素
暂时没有厂家供应该产品。
基本信息
产品名称 铁色素
英文名 Ferrichrome
别名 Ferric (Z)-5-[3-[11,14-Bis(Hydroxymethyl)-5,8-Bis[3-[[(E)-5-Hydroxy-3-Methyl-5-Oxo-Pent-2-Enoyl]-Oxido-Amino]Propyl]-3,6,9,12,15,18-Hexaoxo-1,4,7,10,13,16-Hexazacyclooctadec-2-Yl]Propyl-Oxido-Amino]-3-Methyl-5-Oxo-Pent-3-Enoic Acid; Ferric (Z)-5-[3-[11,14-Bis(Hydroxymethyl)-5,8-Bis[3-[[(E)-5-Hydroxy-3-Methyl-1,5-Dioxopent-2-Enyl]-Oxidoamino]Propyl]-3,6,9,12,15,18-Hexaoxo-1,4,7,10,13,16-Hexazacyclooctadec-2-Yl]Propyl-Oxidoamino]-3-Methyl-5-Oxopent-3-Enoic Acid; Ferric (Z)-5-[3-[5,8-Bis[3-[[(E)-5-Hydroxy-5-Keto-3-Methyl-Pent-2-Enoyl]-Oxido-Amino]Propyl]-3,6,9,12,15,18-Hexaketo-11,14-Dimethylol-1,4,7,10,13,16-Hexazacyclooctadec-2-Yl]Propyl-Oxido-Amino]-5-Keto-3-Methyl-Pent-3-Enoic Acid
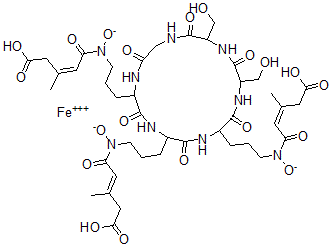
分子结构 CAS 登录号:15258-80-7, 铁色素
分子式 C41H58FeN9O20
分子量 1052.80
CAS 登录号 15258-80-7
EINECS 登录号 239-301-9
分子行输入简码 SMILES C(C1NC(=O)C(NC(=O)C(NC(=O)CNC(=O)C(NC(=O)C(NC1=O)CO)CO)CCCN([O-])C(=O)\C=C(/CC(=O)O)C)CCCN([O-])C(=O)\C=C(\CC(=O)O)C)CCN([O-])C(=O)\C=C(/CC(=O)O)C.[Fe+3]
国际化学标识码 InChI 1S/C41H58N9O20.Fe/c1-22(16-34(57)58)13-31(54)48(68)10-4-7-25-38(64)44-26(8-5-11-49(69)32(55)14-23(2)17-35(59)60)39(65)45-27(9-6-12-50(70)33(56)15-24(3)18-36(61)62)40(66)47-29(21-52)41(67)46-28(20-51)37(63)42-19-30(53)43-25;/h13-15,25-29,51-52H,4-12,16-21H2,1-3H3,(H,42,63)(H,43,53)(H,44,64)(H,45,65)(H,46,67)(H,47,66)(H,57,58)(H,59,60)(H,61,62);/q-3;+3/b22-13-,23-14+,24-15-;
国际化学标识检索码 InChIKey GLLVIRNJIQOQJW-LDEMJYSLSA-N
市场分析报告
请浏览铁色素市场分析报告总目录
相关产品
1-[(2R,4S,5R)-4-羟基-5-(羟基甲...  甲基(8S,9R,10S,11S,13S,14S,...  顺式-菊酸  6-alpha-氟-21-羟基-16alpha,1...  2-(1-苯乙烯基)吡啶  5-氨基-10-溴-4H-吡啶并(2,3,4-kl...  5,5-二甲基噻唑烷-4-羧酸  (1aS-(1aalpha,3abeta,3bal...  [(9S,10S)-10-羟基-8,8-二甲基-2...  1-(2,3-二氢-1-苯并呋喃-5-基)丙-2-...  2-丁基-5-甲基环戊-2-烯-1-酮  6-硝基-2,1-苯并异恶唑  3-二甲基硫代膦酰-1,3-恶唑-2-酮  鸦胆子酚D  鸦胆子酚E