Online Database of Chemicals from Around the World

13-O-Desmethylascomycin
[CAS# 153781-48-7]

Suppliers
CAS#: 153781-48-7
Product: 13-O-Desmethylascomycin
No suppilers available for the product.
Identification
Name 13-O-Desmethylascomycin
Synonyms 13-O-Desmethylimmunomycin; 15,19-Epoxy-3H-Pyrido(2,1-C)(1,4)Oxaazacyclotricosine-1,7,20,21(4H,23H)-Tetrone, 8-Ethyl-5,6,8,11,12,13,14,15,16,17,18,19,24,25,26,26A-Hexadecahydro-5,16,19-Trihydroxy-3-(2-(3-Hydroxy-4-Methoxycyclohexyl)-1-Methylethenyl)-14-Methoxy-4,10,12,18-Tetramethyl-, (3S-(3R*(E(1S*,3S*,4S*)),4S*,5R*,8S*,9E,12R*,14R*,15R*,16R*,18S*,19S*,26Ar*))-
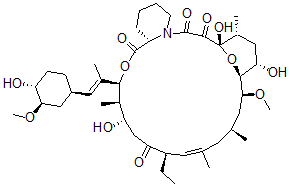
Molecular Structure CAS#: 153781-48-7, 13-O-Desmethylascomycin
Molecular Formula C42H67NO12
Molecular Weight 777.99
CAS Registry Number 153781-48-7
SMILES [C@]12(O[C@@H]([C@@H](O)C[C@H]1C)[C@@H](OC)C[C@H](CC(=C/[C@H](C(=O)C[C@H](O)[C@H]([C@H](OC(=O)[C@H]3N(C(=O)C2=O)CCCC3)\C(=C\[C@H]4C[C@@H](OC)[C@H](O)CC4)C)C)CC)/C)C)O
InChI 1S/C42H67NO12/c1-9-29-17-23(2)16-24(3)18-36(53-8)38-34(47)20-26(5)42(51,55-38)39(48)40(49)43-15-11-10-12-30(43)41(50)54-37(27(6)32(45)22-33(29)46)25(4)19-28-13-14-31(44)35(21-28)52-7/h17,19,24,26-32,34-38,44-45,47,51H,9-16,18,20-22H2,1-8H3/b23-17+,25-19+/t24-,26+,27+,28-,29+,30-,31+,32-,34-,35+,36-,37+,38-,42+/m0/s1
InChIKey OKCJYZYYAWVAHA-CTVWFBRYSA-N
Market Analysis Reports
List of Reports Available for 13-O-Desmethylascomycin
Related Products
13,15-O-Bidesmethylimmunomycin  1-Amino-1-Phenylnonan-2-One Hydrochlorid...  2-Amino-1-Phenylundecan-3-One Hydrochlor...  Anazocine  5-(1,1-Dimethylethyl)-5-Ethylbarbituric ...  7-Hydroxy-10-Oxidophenoxazin-10-Ium-3-On...  2-Propyl-1-[[4-[2-(2H-Tetrazol-5-Yl)Phen...  8-(4-Thiochroman-8-Yloxybutyl)-8-Azaspir...  1-(2-Methoxyphenyl)-4-(2-Thiochroman-8-Y...  5-(Thiochroman-8-Yloxymethyl)-1,3-Oxazol...  2-(4-Thiochroman-8-Yloxybutyl)Isoindole-...  2-(3-Thiochroman-8-Yloxypropyl)Isoindole...  2-(2-Thiochroman-8-Yloxyethyl)Isoindole-...  1-Phenyl-4-(3-Thiochroman-8-Yloxypropyl)...  8-((2-Methoxy-3-(4-phenylpiperidin-1-yl)...