Online Database of Chemicals from Around the World

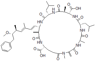
(8S,11R,12S,15S,18S,19S,22R)-18-[(1E,3E,5S,6S)-6-甲氧基-3,5-二甲基-7-苯基庚-1,3-二烯基]-1,5,12,19-四甲基-2-亚甲基-8,15-二(2-甲基丙基)-3,6,9,13,16,20,25-七氧代-1,4,7,10,14,17,21-七氮杂环二十五烷-11,22-二甲酸
[CAS# 154037-67-9]

供应商
CAS#: 154037-67-9
产品: (8S,11R,12S,15S,18S,19S,22R)-18-[(1E,3E,5S,6S)-6-甲氧基-3,5-二甲基-7-苯基庚-1,3-二烯基]-1,5,12,19-四甲基-2-亚甲基-8,15-二(2-甲基丙基)-3,6,9,13,16,20,25-七氧代-1,4,7,10,14,17,21-七氮杂环二十五烷-11,22-二甲酸
暂时没有厂家供应该产品。
基本信息
产品名称 (8S,11R,12S,15S,18S,19S,22R)-18-[(1E,3E,5S,6S)-6-甲氧基-3,5-二甲基-7-苯基庚-1,3-二烯基]-1,5,12,19-四甲基-2-亚甲基-8,15-二(2-甲基丙基)-3,6,9,13,16,20,25-七氧代-1,4,7,10,14,17,21-七氮杂环二十五烷-11,22-二甲酸
英文名 (8S,11R,12S,15S,18S,19S,22R)-18-[(1E,3E,5S,6S)-6-Methoxy-3,5-Dimethyl-7-Phenylhepta-1,3-Dienyl]-1,5,12,19-Tetramethyl-2-Methylidene-8,15-Bis(2-Methylpropyl)-3,6,9,13,16,20,25-Heptaoxo-1,4,7,10,14,17,21-Heptazacyclopentacosane-11,22-Dicarboxylic Acid
别名 (8S,11R,12S,15S,18S,19S,22R)-8,15-Diisobutyl-18-[(1E,3E,5S,6S)-6-Methoxy-3,5-Dimethyl-7-Phenyl-Hepta-1,3-Dienyl]-1,5,12,19-Tetramethyl-2-Methylene-3,6,9,13,16,20,25-Heptaoxo-1,4,7,10,14,17,21-Heptazacyclopentacosane-11,22-Dicarboxylic Acid; (8S,11R,12S,15S,18S,19S,22R)-8,15-Diisobutyl-18-[(1E,3E,5S,6S)-6-Methoxy-3,5-Dimethyl-7-Phenylhepta-1,3-Dienyl]-1,5,12,19-Tetramethyl-2-Methylene-3,6,9,13,16,20,25-Heptaoxo-1,4,7,10,14,17,21-Heptazacyclopentacosane-11,22-Dicarboxylic Acid; (8S,11R,12S,15S,18S,19S,22R)-8,15-Diisobutyl-3,6,9,13,16,20,25-Heptaketo-18-[(1E,3E,5S,6S)-6-Methoxy-3,5-Dimethyl-7-Phenyl-Hepta-1,3-Dienyl]-1,5,12,19-Tetramethyl-2-Methylene-1,4,7,10,14,17,21-Heptazacyclopentacosane-11,22-Dicarboxylic Acid
分子结构 CAS 登录号:154037-67-9, (8S,11R,12S,15S,18S,19S,22R)-18-[(1E,3E,5S,6S)-6-甲氧基-3,5-二甲基-7-苯基庚-1,3-二烯基]-1,5,12,19-四甲基-2-亚甲基-8,15-二(2-甲基丙基)-3,6,9,13,16,20,25-七氧代-1,4,7,10,14,17,21-七氮杂环二十五烷-11,22-二甲酸
分子式 C49H73N7O12
分子量 952.16
CAS 登录号 154037-67-9
分子行输入简码 SMILES [C@H]1(NC(=O)C(NC(=O)C(N(C(=O)CC[C@@H](NC(=O)[C@H]([C@@H](NC(=O)[C@@H](NC(=O)[C@H]([C@@H](NC1=O)C(=O)O)C)CC(C)C)\C=C\C(=C\[C@@H]([C@@H](OC)CC2=CC=CC=C2)C)C)C)C(=O)O)C)=C)C)CC(C)C
国际化学标识码 InChI 1S/C49H73N7O12/c1-26(2)22-37-46(62)51-35(19-18-28(5)24-29(6)39(68-12)25-34-16-14-13-15-17-34)30(7)42(58)52-36(48(64)65)20-21-40(57)56(11)33(10)45(61)50-32(9)44(60)54-38(23-27(3)4)47(63)55-41(49(66)67)31(8)43(59)53-37/h13-19,24,26-27,29-32,35-39,41H,10,20-23,25H2,1-9,11-12H3,(H,50,61)(H,51,62)(H,52,58)(H,53,59)(H,54,60)(H,55,63)(H,64,65)(H,66,67)/b19-18+,28-24+/t29-,30-,31-,32?,35-,36+,37-,38-,39-,41+/m0/s1
国际化学标识检索码 InChIKey GLDUYXHQWLQPRR-IIERUUKBSA-N
物理化学性质
密度 1.226g/cm3 (计算值)
沸点 1238.291°C at 760 mmHg (计算值)
闪点 702.693°C (计算值)
市场分析报告
请浏览(8S,11R,12S,15S,18S,19S,22R)-18-[(1E,3E,5S,6S)-6-甲氧基-3,5-二甲基-7-苯基庚-1,3-二烯基]-1,5,12,19-四甲基-2-亚甲基-8,15-二(2-甲基丙基)-3,6,9,13,16,20,25-七氧代-1,4,7,10,14,17,21-七氮杂环二十五烷-11,22-二甲酸市场分析报告总目录
相关产品
18-[(1E,3E)-6-甲氧基-3,5-二甲基...  3-(1-甲基乙基)戊烷-2,4-二酮  5-乙基双环(2.2.1)-2-庚烯  三乙基铵对甲苯磺酸盐  1,3,3,7-四甲基降冰片烷-2-酮  7-异丙基-1,8a-二甲基十氢萘  N'-环己基亚基异烟酰肼  N'-(1,3,3-三甲基降冰片烷-2-亚基)异烟...  N'-(4-甲基环己基)异烟酰肼  1,8-环十四碳二炔  N,N-二甲基-1-苯基-1H-吡唑-4-胺  N-羟基-1-[3-[3-[2-(羟基-氧代铵基)...  2-[3-[2-(2-甲基-5-硝基咪唑-1-基)...  N-乙酰基-2-甲基-1-丙胺  3-[2-(羟基-氧代氨基)咪唑-1-基]-N-[...