基本信息
| 产品名称 |
胆甾-5-烯-3-基辛基碳酸酯 |
| 英文名 |
Cholest-5-En-3-Yl Octyl Carbonate |
| 别名 |
Carbonate de cholest-5-én-3-yle et d'octyle; Carbonic acid, cholest-5-en-3-yl octyl ester; Cholest-5-en-3-yl octyl carbonate |
|
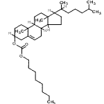
| 分子结构 |
 |
| 分子式 |
C36H62O3 |
| 分子量 |
542.88 |
| CAS 登录号 |
15455-82-0 |
| 分子行输入简码 SMILES |
CCCCCCCCOC(=O)OC1CCC2(C3CCC4(C(C3CC=C2C1)CCC4C(C)CCCC(C)C)C)C |
| 国际化学标识码 InChI |
1S/C36H62O3/c1-7-8-9-10-11-12-24-38-34(37)39-29-20-22-35(5)28(25-29)16-17-30-32-19-18-31(27(4)15-13-14-26(2)3)36(32,6)23-21-33(30)35/h16,26-27,29-33H,7-15,17-25H2,1-6H3 |
| 国际化学标识检索码 InChIKey |
AUDCURYXLLEBIY-UHFFFAOYSA-N |
|