Online Database of Chemicals from Around the World

木松香I
[CAS# 156057-51-1]

供应商
CAS#: 156057-51-1
产品: 木松香I
暂时没有厂家供应该产品。
基本信息
产品名称 木松香I
英文名 Woodrosin I
别名 Hexadecanoic Acid, 11-((O-6-Deoxy-2,4-Bis-O-((S)-2-Methyl-1-Oxobutyl)-Alpha-L-Mannopyranosyl-(1-2)-O-(O-Beta-D-Glucopyranosyl-(1-6)-3,4 Bis-O-((S)-2-Methyl-1-Oxobutyl)-Beta-D-Glucopyranosyl-(1-3))-O-Beta-D-Glucopyranosyl-(1-2)-Beta-D-Glcopyranosyl)Oxy)-, Intramol. 1-2''''-Ester, (S)-; Hexadecanoic Acid, 11-((O-6-Deoxy-2,4-Bis-O-((S)-2-Methyl-1-Oxobutyl)-Alpha-L-Mannopyranosyl-(1-2)-O-(O-Beta-D-Glucopyranosyl-(1-6)-3,4-Bis-D-((S)-2-Methyl-1-Oxobutyl)-Beta-D-Glopyranosyl-(1-3))-O-Beta-D-Glucopyranosyl-(1-2)-Beta-D-Glucopyranosyl)Oxy)-, Intramol. 1-2''''-Ester, (S)-; Jalapinolic Acid 11-O-Glucopyranosyl-1-6-O-(3,4-Di-O-2-Methylbutyryl)Glucopyranosyl-1-3-O-((2,4-Di-O-2-Methylbutyryl)Rhamnopyranosyl-1-2)-O-Glucopyranosyl-1-2-Glucopyranoside Intramolecular 1,2'''''-Ester
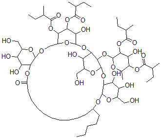
分子结构 CAS 登录号:156057-51-1, 木松香I
分子式 C66H112O30
分子量 1385.59
CAS 登录号 156057-51-1
分子行输入简码 SMILES C(C4C(C(C3OC5C(C(OC1C(C(OC(=O)C(CC)C)C(C(O1)COC2C(C(O)C(C(O2)CO)O)OC(=O)CCCCCCCCCC(OC3O4)CCCCC)OC(=O)C(CC)C)O)C(C(O5)CO)O)OC6C(C(O)C(C(O6)C)OC(=O)C(CC)C)OC(=O)C(CC)C)O)O)O
国际化学标识码 InChI 1S/C66H112O30/c1-11-16-22-25-37-26-23-20-18-17-19-21-24-27-42(70)89-54-46(74)43(71)38(28-67)85-63(54)82-31-41-51(91-59(79)33(7)13-3)53(92-60(80)34(8)14-4)49(77)62(88-41)94-52-45(73)40(30-69)87-66(95-55-47(75)44(72)39(29-68)86-65(55)84-37)57(52)96-64-56(93-61(81)35(9)15-5)48(76)50(36(10)83-64)90-58(78)32(6)12-2/h32-41,43-57,62-69,71-77H,11-31H2,1-10H3
国际化学标识检索码 InChIKey MQNTUHJXSGSICT-UHFFFAOYSA-N
市场分析报告
请浏览木松香I市场分析报告总目录
相关产品
木松香II  2-羟基-3-苯基-丙酸  2-丙酰氧基己基丙酸酯  丙酸钴  砷酸三丙基酯  二-(二硫代苯偶酰)-铂  2,2,4,4,6,6-六氢-6-氯-2,2,4,...  2-甲基十九烷  2-甲基十八烷  2-甲基十六烷  2-甲基十五烷  2-甲基十四烷  2-甲基十三烷  27-甲基二十八烷  磷酸锰铵盐