Online Database of Chemicals from Around the World

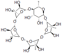
Cyclo-Rhamnopentaose
[CAS# 159495-25-7]

供应商
CAS#: 159495-25-7
产品: Cyclo-Rhamnopentaose
暂时没有厂家供应该产品。
基本信息
产品名称 Cyclo-Rhamnopentaose
英文名 Cyclo-Rhamnopentaose
别名 Cyclorhamnopentaose
分子结构 CAS 登录号:159495-25-7, Cyclo-Rhamnopentaose
分子式 C30H50O20
分子量 730.71
CAS 登录号 159495-25-7
分子行输入简码 SMILES [C@H]12O[C@@H]6O[C@H]([C@H](O[C@@H]5O[C@H]([C@H](O[C@@H]4O[C@H]([C@H](O[C@@H]3O[C@H]([C@H](O[C@H](O[C@H]1C)[C@H](O)[C@@H]2O)[C@@H](O)[C@H]3O)C)[C@@H](O)[C@H]4O)C)[C@@H](O)[C@H]5O)C)[C@@H](O)[C@H]6O)C
国际化学标识码 InChI 1S/C30H50O20/c1-6-21-11(31)16(36)26(41-6)47-22-7(2)43-28(18(38)13(22)33)49-24-9(4)45-30(20(40)15(24)35)50-25-10(5)44-29(19(39)14(25)34)48-23-8(3)42-27(46-21)17(37)12(23)32/h6-40H,1-5H3/t6-,7-,8-,9-,10-,11-,12-,13-,14-,15-,16+,17+,18+,19+,20+,21-,22-,23-,24-,25-,26-,27-,28-,29-,30-/m0/s1
国际化学标识检索码 InChIKey GGQUYBHXGXCEBI-FFNZEYDHSA-N
物理化学性质
密度 1.443g/cm3 (计算值)
沸点 1045.747°C at 760 mmHg (计算值)
闪点 586.247°C (计算值)
市场分析报告
请浏览Cyclo-Rhamnopentaose市场分析报告总目录
相关产品
(2R,3S,4S,5R,6R)-2-(羟基甲基)...  异-戊基苯  4-正丁基甲苯  4-[[4-[[4-(3-氨基丙酰氨基)-1-甲基...  O-丁基甲苯  2-羟基-5-硝基苯甲醛肟  1-甲基-4-(1-甲基丙基)苯  (1R,2S)-1,2-二氯-1,2-二苯基乙烷  (2S,5S,6R,10R,11S)-10-庚基-...  乙二胺四乙酸二钠镉盐  乙二胺四乙酸二钠铅盐  乙二胺四乙酸锌  7-(3-碘丙-2-烯基-丙基氨基)-5,6,7,...  [(2R,3R)-1,1-二氧代-2-丙-2-基四...  [(2R,3R)-1,1-二氧代-2-丙-2-基四...