Online Database of Chemicals from Around the World

[2-[5-乙酰氨基-6-[2-[6-[(E)-3-(苯甲酰氧基)-2-(二十四烷酰基氨基)十八碳-4-烯氧基]-4,5-二羟基-2-(羟基甲基)四氢吡喃-3-基]氧基-3,5-二羟基-6-(羟基甲基)四氢吡喃-4-基]氧基-2-(羟基甲基)-4-(3,4,5-三羟基-6-甲基四氢吡喃-2-基)氧基四氢吡喃-3-基]氧基-3,5-二羟基-6-(羟基甲基)四氢吡喃-4-基]硫酸酯钠盐
[CAS# 162635-35-0]

供应商
CAS#: 162635-35-0
产品: [2-[5-乙酰氨基-6-[2-[6-[(E)-3-(苯甲酰氧基)-2-(二十四烷酰基氨基)十八碳-4-烯氧基]-4,5-二羟基-2-(羟基甲基)四氢吡喃-3-基]氧基-3,5-二羟基-6-(羟基甲基)四氢吡喃-4-基]氧基-2-(羟基甲基)-4-(3,4,5-三羟基-6-甲基四氢吡喃-2-基)氧基四氢吡喃-3-基]氧基-3,5-二羟基-6-(羟基甲基)四氢吡喃-4-基]硫酸酯钠盐
暂时没有厂家供应该产品。
基本信息
产品名称 [2-[5-乙酰氨基-6-[2-[6-[(E)-3-(苯甲酰氧基)-2-(二十四烷酰基氨基)十八碳-4-烯氧基]-4,5-二羟基-2-(羟基甲基)四氢吡喃-3-基]氧基-3,5-二羟基-6-(羟基甲基)四氢吡喃-4-基]氧基-2-(羟基甲基)-4-(3,4,5-三羟基-6-甲基四氢吡喃-2-基)氧基四氢吡喃-3-基]氧基-3,5-二羟基-6-(羟基甲基)四氢吡喃-4-基]硫酸酯钠盐
英文名 Sodium [2-[5-Acetamido-6-[2-[6-[(E)-3-(Benzoyloxy)-2-(Tetracosanoylamino)Octadec-4-Enoxy]-4,5-Dihydroxy-2-(Hydroxymethyl)Oxan-3-Yl]Oxy-3,5-Dihydroxy-6-(Hydroxymethyl)Oxan-4-Yl]Oxy-2-(Hydroxymethyl)-4-(3,4,5-Trihydroxy-6-Methyloxan-2-Yl)Oxyoxan-3-Yl]Oxy-3,5-Dihydroxy-6-(Hydroxymethyl)Oxan-4-Yl] Sulfate
别名 Sodium [2-[5-Acetamido-6-[2-[6-[(E)-3-(Benzoyloxy)-2-(Tetracosanoylamino)Octadec-4-Enoxy]-4,5-Dihydroxy-2-(Hydroxymethyl)Tetrahydropyran-3-Yl]Oxy-3,5-Dihydroxy-6-(Hydroxymethyl)Tetrahydropyran-4-Yl]Oxy-2-(Hydroxymethyl)-4-(3,4,5-Trihydroxy-6-Methyl-Tetrahydropyran-2-Yl)Oxy-Tetrahydropyran-3-Yl]Oxy-3,5-Dihydroxy-6-(Hydroxymethyl)Tetrahydropyran-4-Yl] Sulfate; Sodium [2-[[5-Acetamido-6-[[2-[[4,5-Dihydroxy-2-(Hydroxymethyl)-6-[(E)-3-(Oxo-Phenylmethoxy)-2-(1-Oxotetracosylamino)Octadec-4-Enoxy]-3-Tetrahydropyranyl]Oxy]-3,5-Dihydroxy-6-(Hydroxymethyl)-4-Tetrahydropyranyl]Oxy]-2-(Hydroxymethyl)-4-[(3,4,5-Trihydroxy-6-Methyl-2-Tetrahydropyranyl)Oxy]-3-Tetrahydropyranyl]Oxy]-3,5-Dihydroxy-6-(Hydroxymethyl)-4-Tetrahydropyranyl] Sulfate; Sodium [2-[5-Acetamido-6-[2-[6-[(E)-3-(Benzoyloxy)-2-(Tetracosanoylamino)Octadec-4-Enoxy]-4,5-Dihydroxy-2-Methylol-Tetrahydropyran-3-Yl]Oxy-3,5-Dihydroxy-6-Methylol-Tetrahydropyran-4-Yl]Oxy-2-Methylol-4-(3,4,5-Trihydroxy-6-Methyl-Tetrahydropyran-2-Yl)Oxy-Tetrahydropyran-3-Yl]Oxy-3,5-Dihydroxy-6-Methylol-Tetrahydropyran-4-Yl] Sulfate
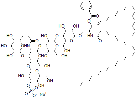
分子结构 CAS 登录号:162635-35-0, [2-[5-乙酰氨基-6-[2-[6-[(E)-3-(苯甲酰氧基)-2-(二十四烷酰基氨基)十八碳-4-烯氧基]-4,5-二羟基-2-(羟基甲基)四氢吡喃-3-基]氧基-3,5-二羟基-6-(羟基甲基)四氢吡喃-4-基]氧基-2-(羟基甲基)-4-(3,4,5-三羟基-6-甲基四氢吡喃-2-基)氧基四氢吡喃-3-基]氧基-3,5-二羟基-6-(羟基甲基)四氢吡喃-4-基]硫酸酯钠盐
分子式 C81H139N2NaO31S
分子量 1692.03
CAS 登录号 162635-35-0
分子行输入简码 SMILES C6=C(C(OC(C(NC(=O)CCCCCCCCCCCCCCCCCCCCCCC)COC5OC(C(OC4OC(C(O)C(OC3OC(C(OC1OC(C(O)C(O[S]([O-])(=O)=O)C1O)CO)C(OC2OC(C(O)C(O)C2O)C)C3NC(=O)C)CO)C4O)CO)C(O)C5O)CO)\C=C\CCCCCCCCCCCCC)=O)C=CC=C6.[Na+]
国际化学标识码 InChI 1S/C81H140N2O31S.Na/c1-5-7-9-11-13-15-17-19-20-21-22-23-24-25-26-28-30-32-34-36-41-45-60(89)83-54(55(105-76(99)53-42-38-37-39-43-53)44-40-35-33-31-29-27-18-16-14-12-10-8-6-2)50-103-78-68(96)66(94)71(58(48-86)109-78)110-80-69(97)74(63(91)56(46-84)106-80)113-77-61(82-52(4)88)73(112-79-67(95)65(93)62(90)51(3)104-79)72(59(49-87)108-77)111-81-70(98)75(114-115(100,101)102)64(92)57(47-85)107-81;/h37-40,42-44,51,54-59,61-75,77-81,84-87,90-98H,5-36,41,45-50H2,1-4H3,(H,82,88)(H,83,89)(H,100,101,102);/q;+1/p-1/b44-40+;
国际化学标识检索码 InChIKey XGFHUVUCQYBVJC-XFYDBFONSA-M
市场分析报告
请浏览[2-[5-乙酰氨基-6-[2-[6-[(E)-3-(苯甲酰氧基)-2-(二十四烷酰基氨基)十八碳-4-烯氧基]-4,5-二羟基-2-(羟基甲基)四氢吡喃-3-基]氧基-3,5-二羟基-6-(羟基甲基)四氢吡喃-4-基]氧基-2-(羟基甲基)-4-(3,4,5-三羟基-6-甲基四氢吡喃-2-基)氧基四氢吡喃-3-基]氧基-3,5-二羟基-6-(羟基甲基)四氢吡喃-4-基]硫酸酯钠盐市场分析报告总目录
相关产品
1-(氯乙酰基)-4-(4-硝基苯基)哌嗪  4,5,6,7-四氟吲哚  2-乙基氨基-4-甲基-噻唑-5-羧酸  (3R)-3-[1-[(4-溴苯基)甲基]哌啶-4...  (5Z)-1-羟基-3-(2-甲基丙基)-5-(2...  3-氟安非他命  N(2),N(2),N(4),N(6)-四甲基三聚...  N,N'-二甲基-6-(吡咯烷-1-基)-1,3,...  N,N'-二甲基-6-吗啉基-1,3,5-三嗪-2...  N,N'-二乙基-6-哌啶-1,3,5-三嗪-2,...  五甲基三聚氰胺  N(2),N(2),N(4)-三甲基三聚氰胺  (4,6-二吡咯烷-1-基均三嗪-2-基)胺  4,6-二哌啶-1,3,5-三嗪-2-胺  N,N',N''-三乙基-1,3,5-三嗪-2,4...