Online Database of Chemicals from Around the World

壬酰-辅酶A
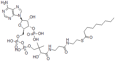
[CAS# 17331-98-5]

供应商
CAS#: 17331-98-5
产品: 壬酰-辅酶A
暂时没有厂家供应该产品。
基本信息
产品名称 壬酰-辅酶A
英文名 Nonanoyl-Coenzyme A
别名 S-[2-[3-[[(2R)-4-[[[(2R,3S,4R,5R)-5-(6-Aminopurin-9-Yl)-4-Hydroxy-3-Phosphonooxy-Tetrahydrofuran-2-Yl]Methoxy-Hydroxy-Phosphoryl]Oxy-Hydroxy-Phosphoryl]Oxy-2-Hydroxy-3,3-Dimethyl-Butanoyl]Amino]Propanoylamino]Ethyl] Nonanethioate; Nonanethioic Acid S-[2-[[3-[[(2R)-4-[[[(2R,3S,4R,5R)-5-(6-Amino-9-Purinyl)-4-Hydroxy-3-Phosphonooxy-2-Tetrahydrofuranyl]Methoxy-Hydroxyphosphoryl]Oxy-Hydroxyphosphoryl]Oxy-2-Hydroxy-3,3-Dimethyl-1-Oxobutyl]Amino]-1-Oxopropyl]Amino]Ethyl] Ester; Nonanethioic Acid S-[2-[3-[[(2R)-4-[[[(2R,3S,4R,5R)-5-(6-Aminopurin-9-Yl)-4-Hydroxy-3-Phosphonooxy-Tetrahydrofuran-2-Yl]Methoxy-Hydroxy-Phosphoryl]Oxy-Hydroxy-Phosphoryl]Oxy-2-Hydroxy-3,3-Dimethyl-Butanoyl]Amino]Propanoylamino]Ethyl] Ester
分子结构 CAS 登录号:17331-98-5, 壬酰-辅酶A
分子式 C30H52N7O17P3S
分子量 907.76
CAS 登录号 17331-98-5
分子行输入简码 SMILES [C@H]1(O[C@@H]([C@@H](O[P](=O)(O)O)[C@H]1O)CO[P](O[P](OCC([C@@H](O)C(=O)NCCC(=O)NCCSC(=O)CCCCCCCC)(C)C)(=O)O)(=O)O)[N]2C3=C(N=C2)C(=NC=N3)N
国际化学标识码 InChI 1S/C30H52N7O17P3S/c1-4-5-6-7-8-9-10-21(39)58-14-13-32-20(38)11-12-33-28(42)25(41)30(2,3)16-51-57(48,49)54-56(46,47)50-15-19-24(53-55(43,44)45)23(40)29(52-19)37-18-36-22-26(31)34-17-35-27(22)37/h17-19,23-25,29,40-41H,4-16H2,1-3H3,(H,32,38)(H,33,42)(H,46,47)(H,48,49)(H2,31,34,35)(H2,43,44,45)/t19-,23-,24-,25+,29-/m1/s1
国际化学标识检索码 InChIKey WLDUTYVSAGSKIV-FUEUKBNZSA-N
物理化学性质
密度 1.689g/cm3 (计算值)
市场分析报告
请浏览壬酰-辅酶A市场分析报告总目录
相关产品
鸟苷酰-(3'-5')-3'-鸟苷酸  2-[2-[2-[2-[(2-溴乙酰基)氨基]乙氧...  1-(3,4-二乙氧基苄基)-6,7-二乙氧基异喹...  N-(2,3-二甲基苯基)邻羧基苯甲酰胺  N-嘧啶基苯甲酰胺-2-羧酸  异泼尼定  (3S)-5-氧代-1-[(1S)-1-苯基乙基]...  (+)-白菖油萜  3-甲基-4-苯基异恶唑并[3,4-d]哒嗪-7(...  4-苯甲酰基-5-甲基-3-异恶唑羧酸乙酯  二苯甲酮2,4-二硝基苯基腙  1,2,2-三苯乙酮  1-苯丙酮对甲苯磺酰基腙  N,N,N',N'-四甲基-1-丁烯-1,3-二胺  3,4-二甲基-2(1H)-喹啉酮