Online Database of Chemicals from Around the World

乳糖酰基鞘氨醇
[CAS# 17574-05-9]

供应商
CAS#: 17574-05-9
产品: 乳糖酰基鞘氨醇
暂时没有厂家供应该产品。
基本信息
产品名称 乳糖酰基鞘氨醇
英文名 Lactosylsphingosine
别名 (2S,3R,4S,5R,6R)-2-[(2R,3S,4R,5S,6S)-6-[(E,3R)-2-Amino-3-Hydroxy-Octadec-4-Enoxy]-4,5-Dihydroxy-2-(Hydroxymethyl)Tetrahydropyran-3-Yl]Oxy-6-(Hydroxymethyl)Tetrahydropyran-3,4,5-Triol; (2S,3R,4S,5R,6R)-2-[[(2R,3S,4R,5S,6S)-6-[(E,3R)-2-Amino-3-Hydroxyoctadec-4-Enoxy]-4,5-Dihydroxy-2-(Hydroxymethyl)-3-Tetrahydropyranyl]Oxy]-6-(Hydroxymethyl)Tetrahydropyran-3,4,5-Triol; (2S,3R,4S,5R,6R)-2-[(2R,3S,4R,5S,6S)-6-[(E,3R)-2-Amino-3-Hydroxy-Octadec-4-Enoxy]-4,5-Dihydroxy-2-Methylol-Tetrahydropyran-3-Yl]Oxy-6-Methylol-Tetrahydropyran-3,4,5-Triol
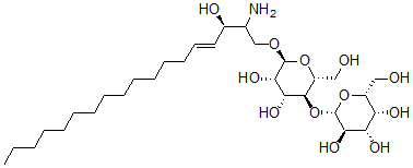
分子结构 CAS 登录号:17574-05-9, 乳糖酰基鞘氨醇
分子式 C30H57NO12
分子量 623.78
CAS 登录号 17574-05-9
分子行输入简码 SMILES [C@H]2(O[C@@H]1O[C@@H]([C@H](O)[C@H](O)[C@H]1O)CO)[C@H](O)[C@H](O)[C@H](O[C@@H]2CO)OCC(N)[C@H](O)\C=C\CCCCCCCCCCCCC
国际化学标识码 InChI 1S/C30H57NO12/c1-2-3-4-5-6-7-8-9-10-11-12-13-14-15-20(34)19(31)18-40-29-27(39)25(37)28(22(17-33)42-29)43-30-26(38)24(36)23(35)21(16-32)41-30/h14-15,19-30,32-39H,2-13,16-18,31H2,1H3/b15-14+/t19?,20-,21-,22-,23+,24+,25-,26-,27+,28-,29+,30+/m1/s1
国际化学标识检索码 InChIKey MQKSCOKUMZMISB-CPXFYUIJSA-N
物理化学性质
密度 1.279g/cm3 (计算值)
沸点 845.823°C at 760 mmHg (计算值)
闪点 465.337°C (计算值)
市场分析报告
请浏览乳糖酰基鞘氨醇市场分析报告总目录
相关产品
4-[(4-羟基苯基)亚甲基]-1-(2-苯基乙基...  4-(4-羟基-3-甲氧基苄亚基)-1-苯乙基-2...  毛花苷 A  去氢蛋氨酸  1,3,3-三甲氧基丙烯  乙基氨基甲酸苯基酯  乙基-氨基甲酸4-硝基苯基酯  4-(羟基亚胺)-2-甲氧基-2,5-环己二烯-1...  3',4'-去氧基-3,4-二氢罂粟林  3-乙酰氧基-N,N-二甲基苯胺  3-乙酰氧基苯基二乙基甲基铵碘化物  N-[2-(二乙基氨基)乙基]-4-[(丙酰基)氨...  (7S,9S)-7-[(2R,4S,5S,6S)-...  佛波醇 12-苯乙酸酯 13-乙酸酯 20-高香草...  6-甲基-2-萘酚