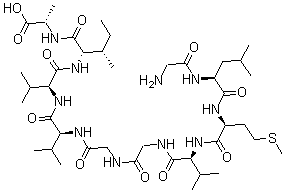
基本信息
| 产品名称 |
甘氨酰-L-亮氨酰-L-蛋氨酰-L-缬氨酰甘氨酰甘氨酰-L-缬氨酰-L-缬氨酰-L-异亮氨酰-L-丙氨酸 |
| 英文名 |
Glycyl-L-Leucyl-L-Methionyl-L-Valylglycylglycyl-L-Valyl-L-Valyl-L-Isoleucyl-L-Alanine |
| 别名 |
AMYLOID BETA/A4 PROTEIN PRECURSOR770 (704-713); H-GLY-LEU-MET-VAL-GLY-GLY-VAL-VAL-ILE-ALA-OH; GLY-LEU-MET-VAL-GLY-GLY-VAL-VAL-ILE-ALA |
|
| 分子结构 |
 |
| 分子式 |
C41H74N10O11S |
| 分子量 |
915.15 |
| CAS 登录号 |
178949-81-0 |
| 分子行输入简码 SMILES |
CSCC[C@@H](C(=O)N[C@H](C(=O)NCC(=O)NCC(=O)N[C@H](C(=O)N[C@H](C(=O)N[C@H](C(=O)N[C@H](C(=O)O)C)[C@H](CC)C)C(C)C)C(C)C)C(C)C)NC(=O)[C@@H](NC(=O)CN)CC(C)C |
| 国际化学标识码 InChI |
1S/C41H74N10O11S/c1-13-24(10)34(40(60)45-25(11)41(61)62)51-39(59)33(23(8)9)50-38(58)32(22(6)7)48-30(54)19-43-29(53)18-44-37(57)31(21(4)5)49-35(55)26(14-15-63-12)47-36(56)27(16-20(2)3)46-28(52)17 |
|