基本信息
| 产品分类 |
化学试剂 >> 硅烷试剂 |
| 产品名称 |
4,4,7-三乙氧基-7-甲基-3,8-二氧杂-4,7-二硅杂癸烷 |
| 英文名 |
4,4,7-Triethoxy-7-Methyl-3,8-Dioxa-4,7-Disiladecane |
| 别名 |
1-(Triethoxysilyl)-2-(diethoxymethylsilyl)-ethane; 1-(TRIETHOXYSILYL)-2-(DIETHOXYMETHYLSILYL)ETHANE; 3,8-dioxa-4,7-disiladecane, 4,4,7-triethoxy-7-methyl- |
|
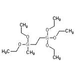
| 分子结构 |
 |
| 分子式 |
C13H32O5Si2 |
| 分子量 |
324.56 |
| CAS 登录号 |
18418-54-7 |
| 分子行输入简码 SMILES |
CCO[Si](OCC)(OCC)CC[Si](C)(OCC)OCC |
| 国际化学标识码 InChI |
1S/C13H32O5Si2/c1-7-14-19(6,15-8-2)12-13-20(16-9-3,17-10-4)18-11-5/h7-13H2,1-6H3 |
| 国际化学标识检索码 InChIKey |
WZJDBQZPEAEUMK-UHFFFAOYSA-N |
|