Online Database of Chemicals from Around the World

22-丁烷-2-基-13-十七烷基-9,16-二(1-羟基乙基)-3,19-二甲基-6-丙-2-基-14-氧杂-1,4,7,10,17,20,23-七氮杂双环[23.3.0]二十八烷-2,5,8,11,15,18,21,24-辛酮
[CAS# 2132-55-0]

供应商
CAS#: 2132-55-0
产品: 22-丁烷-2-基-13-十七烷基-9,16-二(1-羟基乙基)-3,19-二甲基-6-丙-2-基-14-氧杂-1,4,7,10,17,20,23-七氮杂双环[23.3.0]二十八烷-2,5,8,11,15,18,21,24-辛酮
暂时没有厂家供应该产品。
基本信息
产品名称 22-丁烷-2-基-13-十七烷基-9,16-二(1-羟基乙基)-3,19-二甲基-6-丙-2-基-14-氧杂-1,4,7,10,17,20,23-七氮杂双环[23.3.0]二十八烷-2,5,8,11,15,18,21,24-辛酮
英文名 22-Butan-2-Yl-13-Heptadecyl-9,16-Bis(1-Hydroxyethyl)-3,19-Dimethyl-6-Propan-2-Yl-14-Oxa-1,4,7,10,17,20,23-Heptazabicyclo[23.3.0]Octacosane-2,5,8,11,15,18,21,24-Octone
别名 13-Heptadecyl-9,16-Bis(1-Hydroxyethyl)-6-Isopropyl-3,19-Dimethyl-22-Sec-Butyl-14-Oxa-1,4,7,10,17,20,23-Heptazabicyclo[23.3.0]Octacosane-2,5,8,11,15,18,21,24-Octone; 13-Heptadecyl-9,16-Bis(1-Hydroxyethyl)-6-Isopropyl-3,19-Dimethyl-22-Sec-Butyl-14-Oxa-1,4,7,10,17,20,23-Heptazabicyclo[23.3.0]Octacosane-2,5,8,11,15,18,21,24-Tetraquinone; Peptidolipin Na
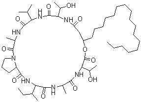
分子结构 CAS 登录号:2132-55-0, 22-丁烷-2-基-13-十七烷基-9,16-二(1-羟基乙基)-3,19-二甲基-6-丙-2-基-14-氧杂-1,4,7,10,17,20,23-七氮杂双环[23.3.0]二十八烷-2,5,8,11,15,18,21,24-辛酮
分子式 C50H89N7O11
分子量 964.29
CAS 登录号 2132-55-0
分子行输入简码 SMILES C(C(C1NC(=O)C2N(C(=O)C(NC(=O)C(NC(=O)C(NC(=O)CC(OC(=O)C(NC(=O)C(NC1=O)C)C(O)C)CCCCCCCCCCCCCCCCC)C(O)C)C(C)C)C)CCC2)C)C
国际化学标识码 InChI 1S/C50H89N7O11/c1-10-12-13-14-15-16-17-18-19-20-21-22-23-24-25-27-37-30-39(60)53-42(35(8)58)48(65)54-40(31(3)4)46(63)52-34(7)49(66)57-29-26-28-38(57)45(62)55-41(32(5)11-2)47(64)51-33(6)44(61)56-43(36(9)59)50(67)68-37/h31-38,40-43,58-59H,10-30H2,1-9H3,(H,51,64)(H,52,63)(H,53,60)(H,54,65)(H,55,62)(H,56,61)
国际化学标识检索码 InChIKey ISFFTEWJOFYRNG-UHFFFAOYSA-N
物理化学性质
密度 1.157g/cm3 (计算值)
沸点 1200.434°C at 760 mmHg (计算值)
闪点 679.798°C (计算值)
市场分析报告
请浏览22-丁烷-2-基-13-十七烷基-9,16-二(1-羟基乙基)-3,19-二甲基-6-丙-2-基-14-氧杂-1,4,7,10,17,20,23-七氮杂双环[23.3.0]二十八烷-2,5,8,11,15,18,21,24-辛酮市场分析报告总目录
相关产品
(S)-(-)-2-异丁基琥珀酸 1-甲基酯  (R)-2-(2-萘基甲基)琥珀酸 1-甲基酯  (S)-2-环己基琥珀酸 1-甲基酯  1-[2,2-二氯-1-(4-甲氧基苯基)乙烯基]...  4-[[4-(乙酰氧基)苯基](2-甲基环己亚基)...  庚烷-2-基苯  庚烷-3-基苯  3-甲基己烷-3-基苯  9-叠氮基吖啶  5-乙基-1-(4-羟基环己基)巴比妥酸  1-(4-羟基环己基)-5-丙基巴比妥酸  5-丁基-1-(4-羟基环己基)巴比妥酸丙酸酯  4-(六氢-5-丁基-2,4,6-三氧代嘧啶-1-...  1-(4-苯甲酰氧基环己基)-5-丁基巴比妥酸  三(二甲基硅烷基)胺