Online Database of Chemicals from Around the World

Direct Red 80
[CAS# 25188-41-4]

Suppliers
CAS#: 25188-41-4
Product: Direct Red 80
No suppilers available for the product.
Identification
Name Direct Red 80
Synonyms Hexasodium (3E)-4-Oxo-7-[[(6E)-5-Oxo-7-Sulfonato-6-[[2-Sulfonato-4-(4-Sulfonatophenyl)Azo-Phenyl]Hydrazono]-2-Naphthyl]Carbamoylamino]-3-[[2-Sulfonato-4-(4-Sulfonatophenyl)Azo-Phenyl]Hydrazono]Naphthalene-2-Sulfonate; Hexasodium (3E)-4-Oxo-7-[[Oxo-[[(6E)-5-Oxo-7-Sulfonato-6-[[2-Sulfonato-4-(4-Sulfonatophenyl)Azophenyl]Hydrazono]-2-Naphthyl]Amino]Methyl]Amino]-3-[[2-Sulfonato-4-(4-Sulfonatophenyl)Azophenyl]Hydrazono]-2-Naphthalenesulfonate; Hexasodium (3E)-4-Keto-7-[[(6E)-5-Keto-7-Sulfonato-6-[[2-Sulfonato-4-(4-Sulfonatophenyl)Azo-Phenyl]Hydrazono]-2-Naphthyl]Carbamoylamino]-3-[[2-Sulfonato-4-(4-Sulfonatophenyl)Azo-Phenyl]Hydrazono]Naphthalene-2-Sulfonate
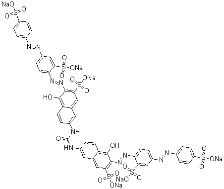
Molecular Structure CAS#: 25188-41-4, Direct Red 80
Molecular Formula C45H26N10Na6O21S6
Molecular Weight 1373.05
CAS Registry Number 25188-41-4
SMILES C5=C(NC(=O)NC4=CC3=C(C(=O)C(=N/NC2=C([S]([O-])(=O)=O)C=C(N=NC1=CC=C([S]([O-])(=O)=O)C=C1)C=C2)\C(=C3)[S]([O-])(=O)=O)C=C4)C=CC8=C5C=C([S]([O-])(=O)=O)/C(=N/NC7=C([S]([O-])(=O)=O)C=C(N=NC6=CC=C([S]([O-])(=O)=O)C=C6)C=C7)C8=O.[Na+].[Na+].[Na+].[Na+].[Na+].[Na+]
InChI 1S/C45H32N10O21S6.6Na/c56-43-33-13-5-27(17-23(33)19-39(81(71,72)73)41(43)54-52-35-15-7-29(21-37(35)79(65,66)67)50-48-25-1-9-31(10-2-25)77(59,60)61)46-45(58)47-28-6-14-34-24(18-28)20-40(82(74,75)76)42(44(34)57)55-53-36-16-8-30(22-38(36)80(68,69)70)51-49-26-3-11-32(12-4-26)78(62,63)64;;;;;;/h1-22,52-53H,(H2,46,47,58)(H,59,60,61)(H,62,63,64)(H,65,66,67)(H,68,69,70)(H,71,72,73)(H,74,75,76);;;;;;/q;6*+1/p-6/b50-48?,51-49?,54-41-,55-42-;;;;;;
InChIKey LDCKXVAPQFUIOI-ZFLDVXHKSA-H
Market Analysis Reports
List of Reports Available for Direct Red 80
Related Products
7-Anilino-3-[[4-[(2,4-Dimethyl-6-Sulphop...  Polyvinylcaprolactam  Polypropylene glycol, monostearate  Bicyclo[2.2.1]Hepta-2,5-Diene, Polymer W...  1,1,2,3,3,3-Hexafluoro-1-Propene Polymer...  2-Propenoic Acid, Ethyl Ester, Polymer W...  Poly(L-Proline)  Poly(2'-deoxyadenylic acid)  Poly(vinyl Sulfate)  Decanedioic Acid, Polymer With Hexahydro...  Solubilised Vat Blue 6  4-[7-(4-Aminophenoxy)Heptoxy]Aniline  1-Isonicotinyl-2-Lactosylhydrazine  (2S)-2-Amino-3-(5-Bromo-1H-Indol-3-Yl)Pr...  [2-[[4-[(2-Chloro-4-Nitrophenyl)Azo]Phen...