Online Database of Chemicals from Around the World

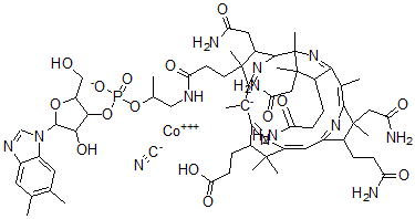
维生素 B12-E-单羧酸
[CAS# 26264-28-8]

供应商
CAS#: 26264-28-8
产品: 维生素 B12-E-单羧酸
暂时没有厂家供应该产品。
基本信息
产品名称 维生素 B12-E-单羧酸
英文名 Cyanocobalamin-E-Monocarboxylic Acid
别名 Cobinic Acid-Abcdg-Pentamide, Cyanide, Dihydrogen Phosphate (Ester), Inner Salt, 3'-Ester With 5,6-Dimethyl-1-Alpha-D-Ribofuranosyl-1H-Benzimidazole; Cyanocobalamin-E-Monocarboxylic Acid
分子结构 CAS 登录号:26264-28-8, 维生素 B12-E-单羧酸
分子式 C63H87CoN13O15P
分子量 1356.37
CAS 登录号 26264-28-8
分子行输入简码 SMILES [Co+3].N1=C6C(C(C1(C2N=C(C(C2CC(=O)N)(CCC(=O)NCC(O[P](OC3C(O)C(OC3CO)[N]5C4=CC(=C(C=C4N=C5)C)C)([O-])=O)C)C)[C-](C8=NC(=CC7=NC(=C6C)C(C7CCC(=O)N)(CC(=O)N)C)C(C8CCC(=O)O)(C)C)C)C)(CC(=O)N)C)CCC(=O)N.N#[C-]
国际化学标识码 InChI 1S/C62H88N12O15P.CN.Co/c1-29-20-39-40(21-30(29)2)74(28-69-39)57-52(84)53(41(27-75)87-57)89-90(85,86)88-31(3)26-68-48(81)18-19-59(8)37(22-45(65)78)56-62(11)61(10,25-47(67)80)36(13-16-44(64)77)51(73-62)33(5)55-60(9,24-46(66)79)34(12-15-43(63)76)38(70-55)23-42-58(6,7)35(14-17-49(82)83)50(71-42)32(4)54(59)72-56;1-2;/h20-21,23,28,31,34-37,41,52-53,56-57,75,84H,12-19,22,24-27H2,1-11H3,(H2,63,76)(H2,64,77)(H2,65,78)(H2,66,79)(H2,67,80)(H,68,81)(H,82,83)(H,85,86);;/q2*-1;+3/p-1
国际化学标识检索码 InChIKey WVRBEVNPDMTPHQ-UHFFFAOYSA-M
市场分析报告
请浏览维生素 B12-E-单羧酸市场分析报告总目录
相关产品
十七碳烯酸  2-甲基己烷-2-胺  1H-吡啶-4-酮  4H-噻吩并[3,2-c]苯并吡喃-2-羧酸  N-甲基氨基甲酸(2-叔-丁基苯基)酯  N-甲基氨基甲酸(4-叔-丁基苯基)酯  4-甲基-N-三乙基锡烷基苯磺酰胺  2-[4,7-二甲氧基-5-(4-甲氧基肉桂酰)苯...  4-癸基苯磺酸钠  3,5-二氯-1,4-氨基苯酚  二(月桂酰氧基)二苯基铅  苄基二(2-羟基乙基)十八烷基氯化铵  N-[2-(2-十七烷基-4,5-二氢-1H-咪唑...  20,21-二羟基胆固醇  碳酸铁