Online Database of Chemicals from Around the World

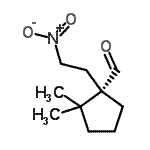
(1S)-2,2-二甲基-1-(2-硝基乙基)环戊烷甲醛
[CAS# 302338-13-2]

供应商
深圳爱拓化学有限公司 中国 询价快递  
+86 13417589054//+86 13424336463
info@atomaxchem.com,atomax.chemicals@gmail.com,
QQ 交流
化学品生产商
基本信息
产品名称 (1S)-2,2-二甲基-1-(2-硝基乙基)环戊烷甲醛
英文名 (1S)-2,2-Dimethyl-1-(2-Nitroethyl)Cyclopentanecarbaldehyde
别名 (S)-2,2-dimethyl-1-(2-nitroethyl)cyclopentanecarbaldehyde
分子结构 CAS 登录号:302338-13-2, (1S)-2,2-二甲基-1-(2-硝基乙基)环戊烷甲醛
分子式 C10H17NO3
分子量 199.25
CAS 登录号 302338-13-2
分子行输入简码 SMILES O=C[C@@]1(CCCC1(C)C)CC[N+]([O-])=O
国际化学标识码 InChI 1S/C10H17NO3/c1-9(2)4-3-5-10(9,8-12)6-7-11(13)14/h8H,3-7H2,1-2H3/t10-/m1/s1
国际化学标识检索码 InChIKey NUQRFBMQFCQZTF-SNVBAGLBSA-N
物理化学性质
密度 1.092g/cm3 (计算值)
沸点 289.929°C at 760 mmHg (计算值)
闪点 120.682°C (计算值)
折射率 1.506 (计算值)
市场分析报告
请浏览(1S)-2,2-二甲基-1-(2-硝基乙基)环戊烷甲醛市场分析报告总目录
相关产品
(5R)-6,6-二甲基-2-氮杂螺[4.4]壬-...  2-(氨基甲基)-1,3-噻唑-4-甲腈  1-(3,4-二乙炔基苯基)乙酮  3,4-二乙炔基苯甲腈  甲基 2-脱氧-L-苏式-呋喃戊糖苷  甲基(1R,5R,6R)-2-氧杂双环[3.1.0...  3-甲基-4-硝基-2-吡啶甲腈  6-甲基-4-硝基-2-吡啶羧酸  2-(2-萘基)乙脒盐酸盐  (3E)-3-十二碳烯酸  1-环戊基-3-甲基-1H-吡唑-5-胺  2-[(4-溴苯基)硫基]乙酰胺  2-(氯甲酰基)苯甲酸  2-(2-氨基乙基)-1H-异吲哚-1,3(2H)...  2,2,6-三甲基-1,3-氧硫杂环已烷