Online Database of Chemicals from Around the World

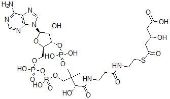
5-[2-[3-[[(2R)-4-[[[(2R,3S,4R,5R)-5-(6-氨基嘌呤-9-基)-4-羟基-3-膦酰氧基四氢呋喃-2-基]甲氧基-羟基磷酰]氧基-羟基磷酰]氧基-2-羟基-3,3-二甲基丁酰基]氨基]丙酰氨基]乙硫基]-3-羟基-5-氧代戊酸
[CAS# 35192-10-0]

供应商
CAS#: 35192-10-0
产品: 5-[2-[3-[[(2R)-4-[[[(2R,3S,4R,5R)-5-(6-氨基嘌呤-9-基)-4-羟基-3-膦酰氧基四氢呋喃-2-基]甲氧基-羟基磷酰]氧基-羟基磷酰]氧基-2-羟基-3,3-二甲基丁酰基]氨基]丙酰氨基]乙硫基]-3-羟基-5-氧代戊酸
暂时没有厂家供应该产品。
基本信息
产品名称 5-[2-[3-[[(2R)-4-[[[(2R,3S,4R,5R)-5-(6-氨基嘌呤-9-基)-4-羟基-3-膦酰氧基四氢呋喃-2-基]甲氧基-羟基磷酰]氧基-羟基磷酰]氧基-2-羟基-3,3-二甲基丁酰基]氨基]丙酰氨基]乙硫基]-3-羟基-5-氧代戊酸
英文名 5-[2-[3-[[(2R)-4-[[[(2R,3S,4R,5R)-5-(6-Aminopurin-9-Yl)-4-Hydroxy-3-Phosphonooxyoxolan-2-Yl]Methoxy-Hydroxyphosphoryl]Oxy-Hydroxyphosphoryl]Oxy-2-Hydroxy-3,3-Dimethylbutanoyl]Amino]Propanoylamino]Ethylsulfanyl]-3-Hydroxy-5-Oxopentanoic Acid
别名 5-[2-[3-[[(2R)-4-[[[(2R,3S,4R,5R)-5-(6-Aminopurin-9-Yl)-4-Hydroxy-3-Phosphonooxy-Tetrahydrofuran-2-Yl]Methoxy-Hydroxy-Phosphoryl]Oxy-Hydroxy-Phosphoryl]Oxy-2-Hydroxy-3,3-Dimethyl-Butanoyl]Amino]Propanoylamino]Ethylsulfanyl]-3-Hydroxy-5-Oxo-Pentanoic Acid; 5-[2-[[3-[[(2R)-4-[[[(2R,3S,4R,5R)-5-(6-Amino-9-Purinyl)-4-Hydroxy-3-Phosphonooxy-2-Tetrahydrofuranyl]Methoxy-Hydroxyphosphoryl]Oxy-Hydroxyphosphoryl]Oxy-2-Hydroxy-3,3-Dimethyl-1-Oxobutyl]Amino]-1-Oxopropyl]Amino]Ethylthio]-3-Hydroxy-5-Oxopentanoic Acid; 5-[2-[3-[[(2R)-4-[[[(2R,3S,4R,5R)-5-(6-Aminopurin-9-Yl)-4-Hydroxy-3-Phosphonooxy-Tetrahydrofuran-2-Yl]Methoxy-Hydroxy-Phosphoryl]Oxy-Hydroxy-Phosphoryl]Oxy-2-Hydroxy-3,3-Dimethyl-Butanoyl]Amino]Propanoylamino]Ethylthio]-3-Hydroxy-5-Keto-Valeric Acid
分子结构 CAS 登录号:35192-10-0, 5-[2-[3-[[(2R)-4-[[[(2R,3S,4R,5R)-5-(6-氨基嘌呤-9-基)-4-羟基-3-膦酰氧基四氢呋喃-2-基]甲氧基-羟基磷酰]氧基-羟基磷酰]氧基-2-羟基-3,3-二甲基丁酰基]氨基]丙酰氨基]乙硫基]-3-羟基-5-氧代戊酸
分子式 C26H42N7O20P3S
分子量 897.63
CAS 登录号 35192-10-0
分子行输入简码 SMILES [C@H]1(O[C@@H]([C@@H](O[P](=O)(O)O)[C@H]1O)CO[P](O[P](OCC([C@@H](O)C(=O)NCCC(=O)NCCSC(=O)CC(O)CC(=O)O)(C)C)(=O)O)(=O)O)[N]2C3=C(N=C2)C(=NC=N3)N
国际化学标识码 InChI 1S/C26H42N7O20P3S/c1-26(2,21(40)24(41)29-4-3-15(35)28-5-6-57-17(38)8-13(34)7-16(36)37)10-50-56(47,48)53-55(45,46)49-9-14-20(52-54(42,43)44)19(39)25(51-14)33-12-32-18-22(27)30-11-31-23(18)33/h11-14,19-21,25,34,39-40H,3-10H2,1-2H3,(H,28,35)(H,29,41)(H,36,37)(H,45,46)(H,47,48)(H2,27,30,31)(H2,42,43,44)/t13?,14-,19-,20-,21+,25-/m1/s1
国际化学标识检索码 InChIKey IIYZSYKTQRIPRG-MJBWAWCGSA-N
物理化学性质
密度 1.927g/cm3 (计算值)
市场分析报告
请浏览5-[2-[3-[[(2R)-4-[[[(2R,3S,4R,5R)-5-(6-氨基嘌呤-9-基)-4-羟基-3-膦酰氧基四氢呋喃-2-基]甲氧基-羟基磷酰]氧基-羟基磷酰]氧基-2-羟基-3,3-二甲基丁酰基]氨基]丙酰氨基]乙硫基]-3-羟基-5-氧代戊酸市场分析报告总目录
相关产品
2-羟基-3-(4-羟基丁-2-炔氧基)丙烷-1-...  7,7-二甲基十二碳-11-烯-2-酮  癸-9-烯-2-酮  壬-8-烯酸乙酯  1,2,3,4,5-五溴-6-(2,3-二溴苯基)...  3-[4-(4-氯苯基)-1,3-噻唑-2-基]苯...  6-氯-1-羟基-2-(三氟甲基)咪唑并[4,5-...  (1R,6S)-6-(2-苯基乙基氨基甲酰)环己-...  2-甲基苯并[c]吖啶  3a,4,5,6,6a,7,7a,8a,8b,8c...  3-甲基苯并[E]苯并咪唑-2-胺  O-丙-2-基甲硫基甲烷硫酸酯  6-(丙-2-基氨基)-1H-1,3,5-三嗪-2...  8a-乙炔基-2,3,5,6,7,8-六氢-1H-...  [(2S,8S,9R,10R,13R,14S,16...