Online Database of Chemicals from Around the World

3-[[(3-苯基丙氧基)亚氨基]甲基]-利福霉素
[CAS# 38128-87-9]

供应商
BOC Sciences 美国 询价快递  
+1 (631) 485-4226
info@bocsci.com
Skype 聊天
化学品供销商
chemBlink 集群供应商(2012 年起)
基本信息
产品名称 3-[[(3-苯基丙氧基)亚氨基]甲基]-利福霉素
英文名 3-[[(3-Phenylpropoxy)Imino]Methyl]-Rifamycin
别名 3-Formylrifamycin Sv O-(3-Phenylpropyl)Oxime; Brn 5418748; Nsc 143476
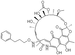
分子结构 CAS 登录号:38128-87-9, 3-[[(3-苯基丙氧基)亚氨基]甲基]-利福霉素
分子式 C47H58N2O13
分子量 858.98
CAS 登录号 38128-87-9
分子行输入简码 SMILES [C@H]1([C@H](O)[C@@H]([C@@H](O)[C@@H](C)\C=C\C=C(C(=O)NC4=C(O)C3=C(C2=C(O[C@](O/C=C/[C@H](OC)[C@H]([C@H]1OC(=O)C)C)(C2=O)C)C(=C3O)C)C(=O)\C4=C\NOCCCC5=CC=CC=C5)\C)C)C
国际化学标识码 InChI 1S/C47H58N2O13/c1-24-15-13-16-25(2)46(57)49-37-32(23-48-60-21-14-19-31-17-11-10-12-18-31)41(54)34-35(42(37)55)40(53)29(6)44-36(34)45(56)47(8,62-44)59-22-20-33(58-9)26(3)43(61-30(7)50)28(5)39(52)27(4)38(24)51/h10-13,15-18,20,22-24,26-28,33,38-39,43,48,51-53,55H,14,19,21H2,1-9H3,(H,49,57)/b15-13+,22-20+,25-16-,32-23+/t24-,26+,27+,28+,33-,38-,39+,43+,47-/m0/s1
国际化学标识检索码 InChIKey ZPBNOWWJKRKBEV-YZMZVZPOSA-N
市场分析报告
请浏览3-[[(3-苯基丙氧基)亚氨基]甲基]-利福霉素市场分析报告总目录
相关产品
二环霉素  三(2-羟基乙基)铵 (2,4,5-三氯苯氧基)乙...  (3S,8aR,10S)-3-[(E)-(1,3-...  2-氨基环戊烷羧酸  缩水甘油基异丁基醚  5-氯-2-[3-(羟基甲基)-5-甲基-4H-1...  4-联苯甲酰胺  萘-1,4-二甲醛  N2-(4-甲氧基苄基)-1,3,5-三嗪-2,4...  N-(2,6-二乙基苯基)马来酰亚胺  甲基丙烯酰氟  4-[3-[5-氯-2-[2-[(3,4-二氯苄基...  3-(3,5-二甲基-1-苯基-1H-吡唑-4-基...  1,3-二[(三甲基硅烷基)乙炔基]苯  N-丁基-N-(4-羟基丁基)亚硝胺