Online Database of Chemicals from Around the World

维生素B12-b-单羧酸
[CAS# 38218-77-8]

供应商
CAS#: 38218-77-8
产品: 维生素B12-b-单羧酸
暂时没有厂家供应该产品。
基本信息
产品名称 维生素B12-b-单羧酸
英文名 Cyanocobalamin-b-monocarboxylic acid
别名 Cobinic Acid-Acdeg-Pentamide, Cyanide, Dihydrogen Phosphate (Ester), Inner Salt, 3'-Ester With 5,6-Dimethyl-1-Alpha-D-Ribofuranosyl-1H-Benzimidazole; Cyanocobalamin-B-Monocarboxylic Acid
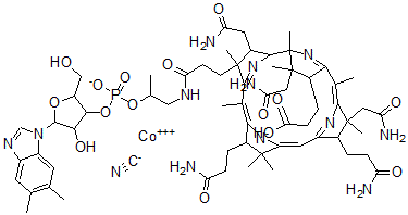
分子结构 CAS 登录号:38218-77-8, 维生素B12-b-单羧酸
分子式 C63H87CoN13O15P
分子量 1356.37
CAS 登录号 38218-77-8
分子行输入简码 SMILES [Co+3].N1=C6C(C(C1(C2N=C(C(C2CC(=O)N)(CCC(=O)NCC(O[P](OC3C(O)C(OC3CO)[N]5C4=CC(=C(C=C4N=C5)C)C)([O-])=O)C)C)C(=C8[N-]C(=CC7=NC(=C6C)C(C7CCC(=O)N)(CC(=O)N)C)C(C8CCC(=O)N)(C)C)C)C)(CC(=O)N)C)CCC(=O)O.N#[C-]
国际化学标识码 InChI 1S/C62H89N12O15P.CN.Co/c1-29-20-39-40(21-30(29)2)74(28-69-39)57-52(84)53(41(27-75)87-57)89-90(85,86)88-31(3)26-68-48(81)18-19-59(8)37(22-45(65)78)56-62(11)61(10,25-47(67)80)36(14-17-49(82)83)51(73-62)33(5)55-60(9,24-46(66)79)34(12-15-43(63)76)38(70-55)23-42-58(6,7)35(13-16-44(64)77)50(71-42)32(4)54(59)72-56;1-2;/h20-21,23,28,31,34-37,41,52-53,56-57,75,84H,12-19,22,24-27H2,1-11H3,(H14,63,64,65,66,67,68,70,71,72,73,76,77,78,79,80,81,82,83,85,86);;/q;-1;+3/p-2
国际化学标识检索码 InChIKey CGXULFRVUMZMFQ-UHFFFAOYSA-L
市场分析报告
请浏览维生素B12-b-单羧酸市场分析报告总目录
相关产品
乙基4-[(2-氨基乙酰基)氨基]苯甲酸酯  4-[[(2S)-2-乙酰氨基-3-(4-羟基苯基...  N-[4-[(4-甲基苯基)-(3-苯基丙基)氨基...  1-(二甲基氨基甲基)吡咯烷-2,5-二酮  1-[(4-甲基哌嗪-1-基)甲基]吡咯烷-2,5...  (2,5-二氧代吡咯烷-1-基)甲基4-甲基哌嗪-...  N-[(4-甲基哌嗪-1-基)甲基]吡啶-3-甲酰...  (吡啶-3-羰基氨基)甲基4-甲基哌嗪-1-二硫代...  (吡啶-4-羰基氨基)甲基吗啉-4-二硫代甲酸酯  3-二甲基氨基-2,5-二羟基-5-甲基环戊-2-...  Baloxine  1-(4-二甲基氨基苯基)-2-萘-2-基亚磺酰乙...  1-萘-2-基亚磺酰-2-苯基戊烷-2-醇  1-(萘-2-基亚磺酰甲基)环己烷-1-醇  2-萘-2-基亚磺酰-1,1-二(苯基)乙醇