Online Database of Chemicals from Around the World

N-[1-[(2-氨基-2-氧代乙基)氨基]-5-(二氨基亚甲基氨基)-1-氧代戊烷-2-基]-1-[7-(2-氨基-2-氧代乙基)-10-(3-氨基-3-氧代丙基)-13-丁烷-2-基-16-[(4-羟基苯基)甲基]-6,9,12,15,18-五氧代1,2-二硫杂-5,8,11,14,17-五氮杂环二十烷-4-羰基]吡咯烷-2-甲酰胺
[CAS# 38679-66-2]

供应商
CAS#: 38679-66-2
产品: N-[1-[(2-氨基-2-氧代乙基)氨基]-5-(二氨基亚甲基氨基)-1-氧代戊烷-2-基]-1-[7-(2-氨基-2-氧代乙基)-10-(3-氨基-3-氧代丙基)-13-丁烷-2-基-16-[(4-羟基苯基)甲基]-6,9,12,15,18-五氧代1,2-二硫杂-5,8,11,14,17-五氮杂环二十烷-4-羰基]吡咯烷-2-甲酰胺
暂时没有厂家供应该产品。
基本信息
产品名称 N-[1-[(2-氨基-2-氧代乙基)氨基]-5-(二氨基亚甲基氨基)-1-氧代戊烷-2-基]-1-[7-(2-氨基-2-氧代乙基)-10-(3-氨基-3-氧代丙基)-13-丁烷-2-基-16-[(4-羟基苯基)甲基]-6,9,12,15,18-五氧代1,2-二硫杂-5,8,11,14,17-五氮杂环二十烷-4-羰基]吡咯烷-2-甲酰胺
英文名 N-[1-[(2-Amino-2-Oxoethyl)Amino]-5-(Diaminomethylideneamino)-1-Oxopentan-2-Yl]-1-[7-(2-Amino-2-Oxoethyl)-10-(3-Amino-3-Oxopropyl)-13-Butan-2-Yl-16-[(4-Hydroxyphenyl)Methyl]-6,9,12,15,18-Pentaoxo1,2-Dithia-5,8,11,14,17-Pentazacycloicosane-4-Carbonyl]Pyrrolidine-2-Carboxamide
别名 1-[7-(2-Amino-2-Oxo-Ethyl)-10-(3-Amino-3-Oxo-Propyl)-16-[(4-Hydroxyphenyl)Methyl]-6,9,12,15,18-Pentaoxo-13-Sec-Butyl-1,2-Dithia-5,8,11,14,17-Pentazacycloicosane-4-Carbonyl]-N-[1-[(2-Amino-2-Oxo-Ethyl)Carbamoyl]-4-Guanidino-Butyl]Pyrrolidine-2-Carboxamide; N-[1-[[(2-Amino-2-Oxoethyl)Amino]-Oxomethyl]-4-Guanidinobutyl]-1-[[7-(2-Amino-2-Oxoethyl)-10-(3-Amino-3-Oxopropyl)-16-[(4-Hydroxyphenyl)Methyl]-6,9,12,15,18-Pentaoxo-13-Sec-Butyl-1,2-Dithia-5,8,11,14,17-Pentazacycloicos-4-Yl]-Oxomethyl]-2-Pyrrolidinecarboxamide; 1-[7-(2-Amino-2-Keto-Ethyl)-10-(3-Amino-3-Keto-Propyl)-16-(4-Hydroxybenzyl)-6,9,12,15,18-Pentaketo-13-Sec-Butyl-1,2-Dithia-5,8,11,14,17-Pentazacycloicosane-4-Carbonyl]-N-[1-[(2-Amino-2-Keto-Ethyl)Carbamoyl]-4-Guanidino-Butyl]Pyrrolidine-2-Carboxamide
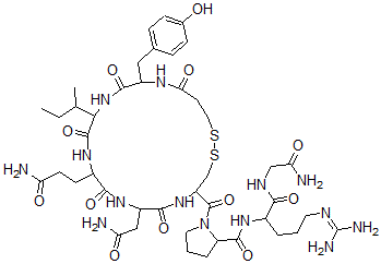
分子结构 CAS 登录号:38679-66-2, N-[1-[(2-氨基-2-氧代乙基)氨基]-5-(二氨基亚甲基氨基)-1-氧代戊烷-2-基]-1-[7-(2-氨基-2-氧代乙基)-10-(3-氨基-3-氧代丙基)-13-丁烷-2-基-16-[(4-羟基苯基)甲基]-6,9,12,15,18-五氧代1,2-二硫杂-5,8,11,14,17-五氮杂环二十烷-4-羰基]吡咯烷-2-甲酰胺
分子式 C43H66N14O12S2
分子量 1035.20
CAS 登录号 38679-66-2
分子行输入简码 SMILES C3=C(CC1NC(=O)CCSSCC(NC(=O)C(NC(=O)C(NC(=O)C(NC1=O)C(CC)C)CCC(=O)N)CC(=O)N)C(=O)N2C(CCC2)C(=O)NC(CCCN=C(N)N)C(=O)NCC(=O)N)C=CC(=C3)O
国际化学标识码 InChI 1S/C43H66N14O12S2/c1-3-22(2)35-41(68)53-26(12-13-31(44)59)37(64)54-28(19-32(45)60)38(65)55-29(21-71-70-17-14-34(62)51-27(39(66)56-35)18-23-8-10-24(58)11-9-23)42(69)57-16-5-7-30(57)40(67)52-25(6-4-15-49-43(47)48)36(63)50-20-33(46)61/h8-11,22,25-30,35,58H,3-7,12-21H2,1-2H3,(H2,44,59)(H2,45,60)(H2,46,61)(H,50,63)(H,51,62)(H,52,67)(H,53,68)(H,54,64)(H,55,65)(H,56,66)(H4,47,48,49)
国际化学标识检索码 InChIKey MKIGJWTYIAFGIM-UHFFFAOYSA-N
物理化学性质
密度 1.562g/cm3 (计算值)
市场分析报告
请浏览N-[1-[(2-氨基-2-氧代乙基)氨基]-5-(二氨基亚甲基氨基)-1-氧代戊烷-2-基]-1-[7-(2-氨基-2-氧代乙基)-10-(3-氨基-3-氧代丙基)-13-丁烷-2-基-16-[(4-羟基苯基)甲基]-6,9,12,15,18-五氧代1,2-二硫杂-5,8,11,14,17-五氮杂环二十烷-4-羰基]吡咯烷-2-甲酰胺市场分析报告总目录
相关产品
(3R,4S,5R)-3,5-二羟基-4-甲氧基己...  4-氨基-N-环丙基苯甲酰胺  (19S)-2,16-二去氢-19-羟基-枯苒-1...  4-吗啉-4-基偶氮苯六氟磷酸盐  2,5-二乙氧基-4-(4-甲基苯基)硫基偶氮苯六...  4-[(4-己基苯基)亚甲基氨基]苯甲腈  4-[(4-丙基苯基)亚甲基氨基]苯甲腈  2-羟基-1-[1-(苯基甲基)吲哚-3-基]乙酮  二(苯基)-(4-苯基苯基)甲醇  3-苯基-5-硫代-1,3,4-噻二唑烷-2-酮  1-氯-3-苯基硫基苯  偏苯三酸酐,邻苯二甲酸酐,新戊二醇,己二酸聚合物  对苯二甲酸,偏苯三酸酐,己二酸,新戊二醇聚合物  7-亚乙基-环戊二烯并(b)环氧乙烷并(c)吡啶六...  2-(3-甲氧基苯基)-5-苯基-1,3-恶唑