Online Database of Chemicals from Around the World

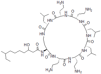
3-羟基-8-甲基-N-[(3S,6S,9S,12S,15S,18S,21S,24S)-6,9,18,21-四(2-氨基乙基)-3,12,15-三(2-甲基丙基)-2,5,8,11,14,17,20,23-八氧代-1,4,7,10,13,16,19,22-八氮杂环二十六碳-24-基]癸烷酰胺
[CAS# 39342-08-0]

供应商
CAS#: 39342-08-0
产品: 3-羟基-8-甲基-N-[(3S,6S,9S,12S,15S,18S,21S,24S)-6,9,18,21-四(2-氨基乙基)-3,12,15-三(2-甲基丙基)-2,5,8,11,14,17,20,23-八氧代-1,4,7,10,13,16,19,22-八氮杂环二十六碳-24-基]癸烷酰胺
暂时没有厂家供应该产品。
基本信息
产品名称 3-羟基-8-甲基-N-[(3S,6S,9S,12S,15S,18S,21S,24S)-6,9,18,21-四(2-氨基乙基)-3,12,15-三(2-甲基丙基)-2,5,8,11,14,17,20,23-八氧代-1,4,7,10,13,16,19,22-八氮杂环二十六碳-24-基]癸烷酰胺
英文名 3-Hydroxy-8-Methyl-N-[(3S,6S,9S,12S,15S,18S,21S,24S)-6,9,18,21-Tetrakis(2-Aminoethyl)-3,12,15-Tris(2-Methylpropyl)-2,5,8,11,14,17,20,23-Octaoxo-1,4,7,10,13,16,19,22-Octazacyclohexacos-24-Yl]Decanamide
别名 3-Hydroxy-8-Methyl-N-[(3S,6S,9S,12S,15S,18S,21S,24S)-6,9,18,21-Tetrakis(2-Aminoethyl)-3,12,15-Triisobutyl-2,5,8,11,14,17,20,23-Octaoxo-1,4,7,10,13,16,19,22-Octazacyclohexacos-24-Yl]Decanamide; 3-Hydroxy-8-Methyl-N-[(3S,6S,9S,12S,15S,18S,21S,24S)-6,9,18,21-Tetrakis(2-Aminoethyl)-3,12,15-Triisobutyl-2,5,8,11,14,17,20,23-Octaketo-1,4,7,10,13,16,19,22-Octazacyclohexacos-24-Yl]Capramide; Antibiotic Em49
分子结构 CAS 登录号:39342-08-0, 3-羟基-8-甲基-N-[(3S,6S,9S,12S,15S,18S,21S,24S)-6,9,18,21-四(2-氨基乙基)-3,12,15-三(2-甲基丙基)-2,5,8,11,14,17,20,23-八氧代-1,4,7,10,13,16,19,22-八氮杂环二十六碳-24-基]癸烷酰胺
分子式 C49H93N13O10
分子量 1024.35
CAS 登录号 39342-08-0
分子行输入简码 SMILES [C@H]1(NC(=O)[C@@H](NC(=O)[C@@H](NC(=O)[C@@H](NC(=O)CC(O)CCCCC(CC)C)CCNC(=O)[C@@H](NC(=O)[C@@H](NC(=O)[C@@H](NC(=O)[C@@H](NC1=O)CC(C)C)CCN)CCN)CC(C)C)CCN)CCN)CC(C)C
国际化学标识码 InChI 1S/C49H93N13O10/c1-9-31(8)12-10-11-13-32(63)27-41(64)55-37-18-23-54-42(65)38(24-28(2)3)60-45(68)35(16-21-52)56-44(67)34(15-20-51)59-48(71)39(25-29(4)5)62-49(72)40(26-30(6)7)61-46(69)36(17-22-53)57-43(66)33(14-19-50)58-47(37)70/h28-40,63H,9-27,50-53H2,1-8H3,(H,54,65)(H,55,64)(H,56,67)(H,57,66)(H,58,70)(H,59,71)(H,60,68)(H,61,69)(H,62,72)/t31?,32?,33-,34-,35-,36-,37-,38-,39-,40-/m0/s1
国际化学标识检索码 InChIKey XXJAQSYTQPWWKU-QVRBQHTBSA-N
物理化学性质
密度 1.191g/cm3 (计算值)
沸点 1348.656°C at 760 mmHg (计算值)
闪点 769.439°C (计算值)
市场分析报告
请浏览3-羟基-8-甲基-N-[(3S,6S,9S,12S,15S,18S,21S,24S)-6,9,18,21-四(2-氨基乙基)-3,12,15-三(2-甲基丙基)-2,5,8,11,14,17,20,23-八氧代-1,4,7,10,13,16,19,22-八氮杂环二十六碳-24-基]癸烷酰胺市场分析报告总目录
相关产品
甲醛,聚合物与(氯甲基)环氧乙烷和苯酚  New True Dentalloy  铬氯化物  4-苯基苯-1,2,3-三醇  锑氢氧化物  4-吗啉-4-基-1-苯基丁烷-1-酮  甲基2-(1-甲基四唑-5-基)磺酰基乙酸酯  苄基-二甲基-[2-[2-[4-(2,4,4-三甲...  炔诺孕酮混合物与乙炔基雌二醇  N-(2-二乙基氨基乙基)-2,4,6-三甲基-N...  2-(2,3,4-三甲氧基苯基)乙胺  (23E,25E,27E,29E,31E,33E,...  硫酸镁盐(1:1)混合物与5-乙基-5-(1-甲基...  镧三氢氧化物  3-(2-氟吩噻嗪-10-基)-N,N-二甲基丙烷...