Online Database of Chemicals from Around the World

1,2-二硬脂酰单半乳糖基甘油
[CAS# 41670-62-6]

供应商
Cayman Chemical Company 美国 询价快递  
+1 (734) 971-3335
sales@caymanchem.com
化学品生产商
Glentham Life Sciences 英国 询价快递  
+44 (2033) 978-798
info@glenthamls.com
化学品供销商(2013 年起)
基本信息
产品名称 1,2-二硬脂酰单半乳糖基甘油
英文名 1,2-Distearoylmonogalactosylglyceride
别名 [1-(Octadecanoyloxymethyl)-2-[(2R,3R,4S,5R,6R)-3,4,5-Trihydroxy-6-(Hydroxymethyl)Tetrahydropyran-2-Yl]Oxy-Ethyl] Octadecanoate; Octadecanoic Acid [1-(1-Oxooctadecoxymethyl)-2-[[(2R,3R,4S,5R,6R)-3,4,5-Trihydroxy-6-(Hydroxymethyl)-2-Tetrahydropyranyl]Oxy]Ethyl] Ester; Stearic Acid [1-(Stearoyloxymethyl)-2-[(2R,3R,4S,5R,6R)-3,4,5-Trihydroxy-6-Methylol-Tetrahydropyran-2-Yl]Oxy-Ethyl] Ester
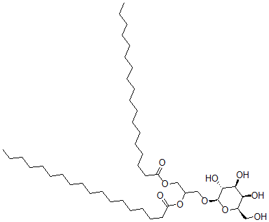
分子结构 CAS 登录号:41670-62-6, 1,2-二硬脂酰单半乳糖基甘油
分子式 C45H86O10
分子量 787.17
CAS 登录号 41670-62-6
分子行输入简码 SMILES [C@@H]1(O)[C@@H](O)[C@@H](O)[C@H](O[C@H]1OCC(OC(=O)CCCCCCCCCCCCCCCCC)COC(=O)CCCCCCCCCCCCCCCCC)CO
国际化学标识码 InChI 1S/C45H86O10/c1-3-5-7-9-11-13-15-17-19-21-23-25-27-29-31-33-40(47)52-36-38(37-53-45-44(51)43(50)42(49)39(35-46)55-45)54-41(48)34-32-30-28-26-24-22-20-18-16-14-12-10-8-6-4-2/h38-39,42-46,49-51H,3-37H2,1-2H3/t38?,39-,42+,43+,44-,45-/m1/s1
国际化学标识检索码 InChIKey DCLTVZLYPPIIID-XMGVTQGESA-N
物理化学性质
密度 1.048g/cm3 (计算值)
沸点 826.424°C at 760 mmHg (计算值)
闪点 226.624°C (计算值)
市场分析报告
请浏览1,2-二硬脂酰单半乳糖基甘油市场分析报告总目录
相关产品
2-[(乙酰基苯胺基)乙烯基]-3-乙基萘并[1,...  4-异丁基苯酚  [(25R)-5a-螺甾烷-3b-基]4-O-(b...  1-(2-氯苯胺基)-9-羟基-2-甲基-1H-萘...  2,5-二(4-氯苯基氨基)对苯二甲酸  3-乙基-2-[2-(N-苯基乙酰氨基)乙烯基]-...  3-羟基-2,2-二甲基-2'-苯基丙酰肼  N-甲基-N-(1-氧代十六烷基)氨基乙酸铵  1,2-二氯-1-甲氧基乙烷  二环戊二烯二氧化物  聚-2-硫代尿甙酸  苯并[1,3]二氧杂环戊烯-5-基甲基-(1-甲基...  (1-甲基-哌啶-4-基)-(四氢-呋喃-2-基-...  N-(2-乙氧基苯基)-3-氧代丁酰胺  5-[(4R)-4-(3,4,5-三甲氧基苯基)-...