Online Database of Chemicals from Around the World

3-[[[(3,7,11-Trimethyl-2,6,10-Dodecatrienyl)Oxy]Imino]Methyl]Rifamycin
[CAS# 41887-55-2]

Suppliers
CAS#: 41887-55-2
Product: 3-[[[(3,7,11-Trimethyl-2,6,10-Dodecatrienyl)Oxy]Imino]Methyl]Rifamycin
No suppilers available for the product.
Identification
Name 3-[[[(3,7,11-Trimethyl-2,6,10-Dodecatrienyl)Oxy]Imino]Methyl]Rifamycin
Synonyms 3-Formylrifamycin Sv O-Farnesyloxime; Brn 5419057
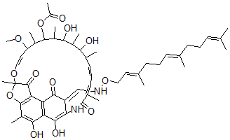
Molecular Structure CAS#: 41887-55-2, 3-[[[(3,7,11-Trimethyl-2,6,10-Dodecatrienyl)Oxy]Imino]Methyl]Rifamycin
Molecular Formula C53H72N2O13
Molecular Weight 945.16
CAS Registry Number 41887-55-2
SMILES C(ON/C=C2/C(=O)C1=C3C(=C(C4=C1C(=O)C(O/C=C/C(OC)C(C(OC(=O)C)C(C(O)C(C(O)C(C)\C=C\C=C(C(=O)NC2=C3O)\C)C)C)C)(O4)C)C)O)\C=C(\CC\C=C(\CCC=C(C)C)C)C
InChI 1S/C53H72N2O13/c1-28(2)17-14-18-29(3)19-15-20-30(4)23-26-66-54-27-38-43-48(61)41-40(47(38)60)42-50(36(10)46(41)59)68-53(12,51(42)62)65-25-24-39(64-13)33(7)49(67-37(11)56)35(9)45(58)34(8)44(57)31(5)21-16-22-32(6)52(63)55-43/h16-17,19,21-25,27,31,33-35,39,44-45,49,54,57-59,61H,14-15,18,20,26H2,1-13H3,(H,55,63)/b21-16+,25-24+,29-19+,30-23+,32-22-,38-27+
InChIKey ZOIWKGLFFOLYQE-FAMXPQBESA-N
Market Analysis Reports
List of Reports Available for 3-[[[(3,7,11-Trimethyl-2,6,10-Dodecatrienyl)Oxy]Imino]Methyl]Rifamycin
Related Products
3-[(2-Ethoxyethoxy)Iminomethyl]Rifamycin...  1-Benzothiepin 1,1-Dioxide  Acetic Acid 3-(2-Methyl-5-Oxo-2-Oxazolin...  Benzoyl Norecgonine  2-Ethylbutanoic Acid 2,2,2-Trichloroethy...  2-(Decylthio)Ethanol  2,2'-[Dodecane-1,12-Diylbis(Thio)]Biseth...  (3-Chloro-2-Hydroxypropyl)Dodecyldimethy...  Sodium 1-Ethyl Oxosuccinate  3-Amino-4-(Diethylamino)Benzenesulfonami...  2-Hydroxypropyl Bromoacetate  2,5-Dihydro-1H-Pyrazol-3-Amine Dihydroch...  3b,16b-Bis(Acetyloxy)-14,15b-Epoxy-5-Hyd...  N-Phosphotaurocyamine  [1,1'-Biphenyl]-2,3',4-Triol