Online Database of Chemicals from Around the World

O3-二[(3-乙氧羰基-2,2,3-三甲基-环戊烷羰基)氧基]铋基O1-乙基1,2,2-三甲基环戊烷-1,3-二羧酸酯
[CAS# 52951-37-8]

供应商
CAS#: 52951-37-8
产品: O3-二[(3-乙氧羰基-2,2,3-三甲基-环戊烷羰基)氧基]铋基O1-乙基1,2,2-三甲基环戊烷-1,3-二羧酸酯
暂时没有厂家供应该产品。
基本信息
产品名称 O3-二[(3-乙氧羰基-2,2,3-三甲基-环戊烷羰基)氧基]铋基O1-乙基1,2,2-三甲基环戊烷-1,3-二羧酸酯
英文名 O3-bis[(3-ethoxycarbonyl-2,2,3-trimethyl-cyclopentanecarbonyl)oxy]bismuthanyl O1-ethyl 1,2,2-trimethylcyclopentane-1,3-dicarboxylate
别名 Bismuth Ethyl Camphorate
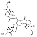
分子结构 CAS 登录号:52951-37-8, O3-二[(3-乙氧羰基-2,2,3-三甲基-环戊烷羰基)氧基]铋基O1-乙基1,2,2-三甲基环戊烷-1,3-二羧酸酯
分子式 C36H57BiO12
分子量 890.81
CAS 登录号 52951-37-8
分子行输入简码 SMILES CCOC(=O)C1(CCC(C1(C)C)C(=O)O[Bi](OC(=O)C2CCC(C2(C)C)(C)C(=O)OCC)OC(=O)C3CCC(C3(C)C)(C)C(=O)OCC)C
国际化学标识码 InChI 1S/3C12H20O4.Bi/c3*1-5-16-10(15)12(4)7-6-8(9(13)14)11(12,2)3;/h3*8H,5-7H2,1-4H3,(H,13,14);/q;;;+3/p-3
国际化学标识检索码 InChIKey WQZQEQSQBAWPJO-UHFFFAOYSA-K
市场分析报告
请浏览O3-二[(3-乙氧羰基-2,2,3-三甲基-环戊烷羰基)氧基]铋基O1-乙基1,2,2-三甲基环戊烷-1,3-二羧酸酯市场分析报告总目录
相关产品
(1R,2S,3S,4R,5S)-三环[3.2.1...  3-(二甲基氨基)双环[2.2.1]庚烷-2-醇  5,6-茚满二胺  2-(2,4-二氧代-3-戊烷基)苯甲酸  1H-咪唑并[4,5-g]酞嗪  咪唑并[5,1-c][1,2,4]三嗪  甲基2-乙基-2-甲基丁酸酯  (2R)-2-羟基-3-(十八烷氧基)丙基磷酸二氢...  2,3,4-三甲氧基-6-硝基苯甲醛  6-氨基-4-羟基-2-喹啉羧酸  4-(2-甲基苯甲酰)苯基乙酸酯  4-(3-甲基苯甲酰)苯基乙酸酯  6-乙氧基异喹啉  2,5-脱水己糖酸  4-[乙酰基(乙基)氨基]苯基乙酸酯