Online Database of Chemicals from Around the World

季铵盐-52
[CAS# 58069-11-7]

供应商
BOC Sciences 美国 询价快递  
+1 (631) 485-4226
info@bocsci.com
Skype 聊天
化学品供销商
chemBlink 集群供应商(2012 年起)
基本信息
产品名称 季铵盐-52
英文名 Quaternium-52
别名 Tris[2-(2-Hydroxyethoxy)Ethyl]-Octadecyl-Ammonium Phosphate; Tris[2-(2-Hydroxyethoxy)Ethyl]-Octadecylammonium Phosphate; Tris[2-(2-Hydroxyethoxy)Ethyl]-Stearyl-Ammonium Phosphate
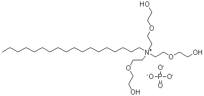
分子结构 CAS 登录号:58069-11-7, 季铵盐-52
分子式 C30H64NO10P
分子量 629.81
CAS 登录号 58069-11-7
分子行输入简码 SMILES O=[P]([O-])([O-])[O-].C([N+](CCOCCO)(CCOCCO)CCOCCO)CCCCCCCCCCCCCCCCC
国际化学标识码 InChI 1S/C30H64NO6.H3O4P/c1-2-3-4-5-6-7-8-9-10-11-12-13-14-15-16-17-18-31(19-25-35-28-22-32,20-26-36-29-23-33)21-27-37-30-24-34;1-5(2,3)4/h32-34H,2-30H2,1H3;(H3,1,2,3,4)/q+1;/p-3
国际化学标识检索码 InChIKey GUIWIPNQQLZJIE-UHFFFAOYSA-K
市场分析报告
请浏览季铵盐-52市场分析报告总目录
相关产品
脲-13C  吗啉基乙腈  4-吗啉-4-基丁酸  占托西林  联苯-2,2'-二甲酸二甲酯  [1,1'-联苯]-2,2'-二羧酸二乙酯  9-羟基-3-硝基芴  2-苯并恶唑-2-基巯基乙酸酯  舒贝诺司  2-丁基-2-((3-((2-丁基二氢-6-氧代-...  N,N-二甲基-2-氯乙酰乙酰胺  11-氰基-十一烷酸  2'-乙氧基乙酰苯胺  3,2'-二甲基-4-氨基联苯  8-甲酰基-1-萘甲酸