Online Database of Chemicals from Around the World

抗生素 38295
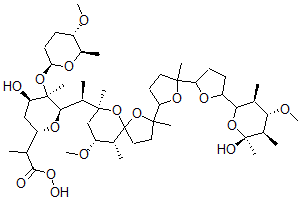
[CAS# 59149-05-2]

供应商
CAS#: 59149-05-2
产品: 抗生素 38295
暂时没有厂家供应该产品。
基本信息
产品名称 抗生素 38295
英文名 Antibiotic 38295
别名 2-[(2S,4R,5R,6R)-4-Hydroxy-6-[(1R)-1-[(7S,9R,10R)-2-[5-[5-[(3S,4S,5R,6S)-6-Hydroxy-4-Methoxy-3,5,6-Trimethyl-Tetrahydropyran-2-Yl]Tetrahydrofuran-2-Yl]-5-Methyl-Tetrahydrofuran-2-Yl]-9-Methoxy-2,7,10-Trimethyl-1,6-Dioxaspiro[4.5]Decan-7-Yl]Ethyl]-5-[(2S,5S,6R)-5-Methoxy-6-Methyl-Tetrahydropyran-2-Yl]Oxy-5-Methyl-Tetrahydropyran-2-Yl]Propaneperoxoic Acid; 2-[(2S,4R,5R,6R)-4-Hydroxy-6-[(1R)-1-[(7S,9R,10R)-2-[5-[5-[(3S,4S,5R,6S)-6-Hydroxy-4-Methoxy-3,5,6-Trimethyl-2-Tetrahydropyranyl]-2-Tetrahydrofuranyl]-5-Methyl-2-Tetrahydrofuranyl]-9-Methoxy-2,7,10-Trimethyl-1,6-Dioxaspiro[4.5]Decan-7-Yl]Ethyl]-5-[[(2S,5S,6R)-5-Methoxy-6-Methyl-2-Tetrahydropyranyl]Oxy]-5-Methyl-2-Tetrahydropyranyl]Propaneperoxoic Acid; 2-[(2S,4R,5R,6R)-4-Hydroxy-6-[(1R)-1-[(7S,9R,10R)-2-[5-[5-[(3S,4S,5R,6S)-6-Hydroxy-4-Methoxy-3,5,6-Trimethyl-Tetrahydropyran-2-Yl]Tetrahydrofuran-2-Yl]-5-Methyl-Tetrahydrofuran-2-Yl]-9-Methoxy-2,7,10-Trimethyl-1,6-Dioxaspiro[4.5]Decan-7-Yl]Ethyl]-5-[(2S,5S,6R)-5-Methoxy-6-Methyl-Tetrahydropyran-2-Yl]Oxy-5-Methyl-Tetrahydropyran-2-Yl]Peroxypropionic Acid
分子结构 CAS 登录号:59149-05-2, 抗生素 38295
分子式 C48H82O16
分子量 915.17
CAS 登录号 59149-05-2
分子行输入简码 SMILES [C@@H]1(O[C@@H](C[C@@H](O)[C@]1(O[C@@H]2O[C@@H]([C@@H](OC)CC2)C)C)C(C(OO)=O)C)[C@H]([C@]7(OC6(OC(C3OC(CC3)(C5OC(C4O[C@](O)([C@@H]([C@@H](OC)[C@@H]4C)C)C)CC5)C)(CC6)C)[C@@H]([C@H](OC)C7)C)C)C
国际化学标识码 InChI 1S/C48H82O16/c1-25(42(50)62-52)33-23-35(49)46(10,60-38-18-16-31(53-12)30(6)56-38)41(58-33)29(5)45(9)24-34(54-13)27(3)48(64-45)22-21-44(8,63-48)37-19-20-43(7,59-37)36-17-15-32(57-36)40-26(2)39(55-14)28(4)47(11,51)61-40/h25-41,49,51-52H,15-24H2,1-14H3/t25?,26-,27+,28+,29+,30+,31-,32?,33-,34+,35+,36?,37?,38-,39-,40?,41+,43?,44?,45-,46+,47-,48?/m0/s1
国际化学标识检索码 InChIKey IQVROGAJHRXENX-HXLMOCOFSA-N
物理化学性质
密度 1.223g/cm3 (计算值)
沸点 877.752°C at 760 mmHg (计算值)
闪点 242.085°C (计算值)
市场分析报告
请浏览抗生素 38295市场分析报告总目录
相关产品
N-(3-羟基苯基)苯磺酰胺  2-[(3-氨基苯基)亚甲基]丁酸  八氢-7a,8,8-三甲基-1,5-甲桥-1H-茚...  3-溴-2-甲基丙酸乙酯  2-[4-[[2,4-二羟基-3-(苯基偶氮)苯基...  2,3,4,9-四氢-2-甲基-1H-吡啶并[3,...  N-叔丁氧羰基-甘氨酰-色氨酰-蛋氨酰-天冬氨酰-...  12-乙基-5-[[3-[(2-乙基己基)氧基]-...  3beta-(苯甲酰氧基)豆甾-5-烯-7-酮  二异戊酸钙  丁基氨基甲酸乙酯  甲基氨基甲酰乙基丙烯酸酯  3,4,5,6,7,8,9,10-八氢-7,14,...  花园霉素  6-氟己酸 2-氟乙基酯