Online Database of Chemicals from Around the World

抗生素 333-25
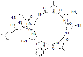
[CAS# 59217-95-7]

供应商
CAS#: 59217-95-7
产品: 抗生素 333-25
暂时没有厂家供应该产品。
基本信息
产品名称 抗生素 333-25
英文名 Antibiotic 333-25
别名 N-[3-Amino-1-[[6,9,18-Tris(2-Aminoethyl)-3,12-Diisobutyl-2,5,8,11,14,17,20-Heptaoxo-15-(Phenylmethyl)-1,4,7,10,13,16,19-Heptazacyclotricos-21-Yl]Carbamoyl]Propyl]-3-Hydroxy-6-Methyl-Octanamide; N-[3-Amino-1-[Oxo-[[6,9,18-Tris(2-Aminoethyl)-3,12-Diisobutyl-2,5,8,11,14,17,20-Heptaoxo-15-(Phenylmethyl)-1,4,7,10,13,16,19-Heptazacyclotricos-21-Yl]Amino]Methyl]Propyl]-3-Hydroxy-6-Methyloctanamide; N-[3-Amino-1-[[6,9,18-Tris(2-Aminoethyl)-15-(Benzyl)-3,12-Diisobutyl-2,5,8,11,14,17,20-Heptaketo-1,4,7,10,13,16,19-Heptazacyclotricos-21-Yl]Carbamoyl]Propyl]-3-Hydroxy-6-Methyl-Caprylamide
分子结构 CAS 登录号:59217-95-7, 抗生素 333-25
分子式 C50H87N13O10
分子量 1030.32
CAS 登录号 59217-95-7
分子行输入简码 SMILES C2=C(CC1NC(=O)C(NC(=O)C(NC(=O)C(NC(=O)CC(O)CCC(CC)C)CCN)CCNC(=O)C(NC(=O)C(NC(=O)C(NC(=O)C(NC1=O)CC(C)C)CCN)CCN)CC(C)C)CCN)C=CC=C2
国际化学标识码 InChI 1S/C50H87N13O10/c1-7-31(6)13-14-33(64)28-42(65)56-34(15-20-51)44(67)60-38-19-24-55-43(66)39(25-29(2)3)61-46(69)36(17-22-53)57-45(68)35(16-21-52)59-49(72)40(26-30(4)5)62-50(73)41(27-32-11-9-8-10-12-32)63-47(70)37(18-23-54)58-48(38)71/h8-12,29-31,33-41,64H,7,13-28,51-54H2,1-6H3,(H,55,66)(H,56,65)(H,57,68)(H,58,71)(H,59,72)(H,60,67)(H,61,69)(H,62,73)(H,63,70)
国际化学标识检索码 InChIKey LXJHAXOSIOZDMJ-UHFFFAOYSA-N
物理化学性质
密度 1.231g/cm3 (计算值)
沸点 1383.371°C at 760 mmHg (计算值)
闪点 790.434°C (计算值)
市场分析报告
请浏览抗生素 333-25市场分析报告总目录
相关产品
1,1-二丁氧基丁烷  1-甲基己基乙酸酯  4-辛基乙酸酯  四氢-2-辛基呋喃  (Z)-4-(9-十八碳烯基氨基)-4-氧代-3-...  N(epsilon)-苄氧羰基-L-氧基赖氨酸  16-苯基-16-氮杂双环[10.4.0]十六碳-...  邻甲苯磺酸乙酯  6-氨基-5-[(4-氯-5-甲基-2-磺基苯基)...  维他命 B2 酸  N-[3-(二甲基氨基)丙基]甲酰胺  2-甲基吗啉盐酸盐  12-溴甲基-7-甲基苯并[a]蒽  棕榈酸异癸酯  2,3,6,7-四甲基辛-4-炔-2,3,6,7-...