Online Database of Chemicals from Around the World

13-丝氨酸-生长抑素
[CAS# 61557-10-6]

供应商
CAS#: 61557-10-6
产品: 13-丝氨酸-生长抑素
暂时没有厂家供应该产品。
基本信息
产品名称 13-丝氨酸-生长抑素
英文名 13-Serine-somatostatin
别名 13-Serine-Somatostatin; Somatostatin (Sheep), 13-D-Serine-; Somatostatin, Ser(13)-
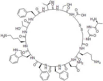
分子结构 CAS 登录号:61557-10-6, 13-丝氨酸-生长抑素
分子式 C76H104N18O19S2
分子量 1637.89
CAS 登录号 61557-10-6
分子行输入简码 SMILES [C@H]3(CCCCN)C(N[C@@H](CC(=O)N)C(=O)N[C@H](C(=O)N[C@H](C(=O)N[C@@H](CC1=C[NH]C2=C1C=CC=C2)C(N[C@H](C(=O)NC(C(=O)N[C@H](C(NC(C(=O)N[C@@H](C(N[C@@H](CSSC[C@@H](C(=O)N3)NC(CNC(=O)[C@H](C)N)=O)C(=O)O)=O)CO)[C@H](O)C)=O)CC4=CC=CC=C4)[C@H](O)C)CCCCN)=O)CC5=CC=CC=C5)CC6=CC=CC=C6)=O
国际化学标识码 InChI 1S/C76H104N18O19S2/c1-41(79)64(100)82-37-61(99)83-58-39-114-115-40-59(76(112)113)92-72(108)57(38-95)91-75(111)63(43(3)97)94-71(107)54(33-46-23-11-6-12-24-46)90-74(110)62(42(2)96)93-66(102)51(28-16-18-30-78)84-69(105)55(34-47-36-81-49-26-14-13-25-48(47)49)88-68(104)53(32-45-21-9-5-10-22-45)86-67(103)52(31-44-19-7-4-8-20-44)87-70(106)56(35-60(80)98)89-65(101)50(85-73(58)109)27-15-17-29-77/h4-14,19-26,36,41-43,50-59,62-63,81,95-97H,15-18,27-35,37-40,77-79H2,1-3H3,(H2,80,98)(H,82,100)(H,83,99)(H,84,105)(H,85,109)(H,86,103)(H,87,106)(H,88,104)(H,89,101)(H,90,110)(H,91,111)(H,92,108)(H,93,102)(H,94,107)(H,112,113)/t41-,42+,43+,50-,51-,52-,53-,54-,55-,56-,57+,58-,59-,62?,63?/m0/s1
国际化学标识检索码 InChIKey NHXLMOGPVYXJNR-IRKDTQSJSA-N
市场分析报告
请浏览13-丝氨酸-生长抑素市场分析报告总目录
相关产品
戊前列烯  佛波醇二丁酸酯  二(4-氨基苯基)(4-氨基间甲苯基)甲醇乙酸酯  2-氯戊酸  2,2-二(甲硫基)丙烷  3,4-二氢-5-(环氧乙烷基甲氧基)-1H-异喹...  5-[3-(叔-丁基氨基)-2-羟基丙氧基]-3,...  放线菌素 C3  5,6-二氢-[1,4]二恶英-2-羧酸  5-(1-乙氧基乙氧基)戊-1-炔  6-(1-乙氧基乙氧基)己-2-炔-1-醇  (E)-6-(1-乙氧基乙氧基)己-2-烯-1-醇  (E)-1-氯-6-(1-乙氧基乙氧基)己-2-烯  (E)-(1-乙氧基乙氧基)十三碳-4-烯-7-炔  (E)-十三碳-4-烯-7-炔-1-醇