Online Database of Chemicals from Around the World

4-叠氮基苯甲酰基-辅酶 A
[CAS# 63550-94-7]

供应商
CAS#: 63550-94-7
产品: 4-叠氮基苯甲酰基-辅酶 A
暂时没有厂家供应该产品。
基本信息
产品名称 4-叠氮基苯甲酰基-辅酶 A
英文名 4-Azidobenzoyl-Coenzyme A
别名 S-[2-[3-[[(2R)-4-[[[(2R,3S,4R,5R)-5-(6-Aminopurin-9-Yl)-4-Hydroxy-3-Phosphonooxy-Tetrahydrofuran-2-Yl]Methoxy-Hydroxy-Phosphoryl]Oxy-Hydroxy-Phosphoryl]Oxy-2-Hydroxy-3,3-Dimethyl-Butanoyl]Amino]Propanoylamino]Ethyl] 4-Azidobenzenecarbothioate; 4-Azidobenzenecarbothioic Acid S-[2-[[3-[[(2R)-4-[[[(2R,3S,4R,5R)-5-(6-Amino-9-Purinyl)-4-Hydroxy-3-Phosphonooxy-2-Tetrahydrofuranyl]Methoxy-Hydroxyphosphoryl]Oxy-Hydroxyphosphoryl]Oxy-2-Hydroxy-3,3-Dimethyl-1-Oxobutyl]Amino]-1-Oxopropyl]Amino]Ethyl] Ester; 4-Azidothiobenzoic Acid S-[2-[3-[[(2R)-4-[[[(2R,3S,4R,5R)-5-(6-Aminopurin-9-Yl)-4-Hydroxy-3-Phosphonooxy-Tetrahydrofuran-2-Yl]Methoxy-Hydroxy-Phosphoryl]Oxy-Hydroxy-Phosphoryl]Oxy-2-Hydroxy-3,3-Dimethyl-Butanoyl]Amino]Propanoylamino]Ethyl] Ester
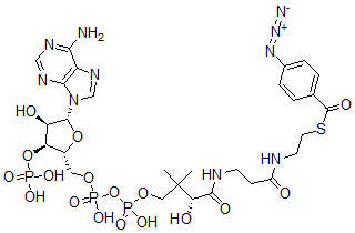
分子结构 CAS 登录号:63550-94-7, 4-叠氮基苯甲酰基-辅酶 A
分子式 C28H39N10O17P3S
分子量 912.65
CAS 登录号 63550-94-7
分子行输入简码 SMILES [N+](=NC4=CC=C(C(SCCNC(=O)CCNC(=O)[C@H](O)C(CO[P](O[P](OC[C@H]3O[C@@H]([N]1C2=C(N=C1)C(=NC=N2)N)[C@H](O)[C@@H]3O[P](=O)(O)O)(=O)O)(=O)O)(C)C)=O)C=C4)=[N-]
国际化学标识码 InChI 1S/C28H39N10O17P3S/c1-28(2,22(41)25(42)32-8-7-18(39)31-9-10-59-27(43)15-3-5-16(6-4-15)36-37-30)12-52-58(49,50)55-57(47,48)51-11-17-21(54-56(44,45)46)20(40)26(53-17)38-14-35-19-23(29)33-13-34-24(19)38/h3-6,13-14,17,20-22,26,40-41H,7-12H2,1-2H3,(H,31,39)(H,32,42)(H,47,48)(H,49,50)(H2,29,33,34)(H2,44,45,46)/t17-,20-,21-,22+,26-/m1/s1
国际化学标识检索码 InChIKey RHPFXRVQBZPHGR-TYHXJLICSA-N
市场分析报告
请浏览4-叠氮基苯甲酰基-辅酶 A市场分析报告总目录
相关产品
3-(1-甲基-1-氧代吡咯烷-1-鎓-2-基)吡...  (2R,3'S)-5'alpha-[(E)-5-(...  (3S,alphar)-3-[[[(Z)-羟基亚胺...  6-氨基-4-羟基-3-[(4-硝基-2-磺基苯基...  N-(2-羟基乙基)-N-[2-[(1-氧代十四烷...  17-碘十七烷酸  外-2-溴-5-氧代-双环[2.2.1]庚烷-顺式...  磷酰二溴酸甲酯  N,N-二甲基-1-菲-9-基-甲胺  1-(氨基甲基)环庚烷乙酸  3-氧代庚酸  1-(2-氟苯基)-1H-吡咯-2,5-二酮  1,2-二乙酰氧基苯  二异壬基萘磺酸铵  二(二异壬基萘磺酸)铅