Online Database of Chemicals from Around the World

16-Hydroxy-19-(1-Hydroxyethyl)-6,15,27-Trimethyl-12H,24H-Spiro[2,5,11,14,18,25-Hexaoxahexacyclo[24.2.1.03,9.04,6.09,27.013,15]Nonacosa-20,22-Diene-28,2'-Oxirane]-12,24-Dione
[CAS# 63814-58-4]

Suppliers
CAS#: 63814-58-4
Product: 16-Hydroxy-19-(1-Hydroxyethyl)-6,15,27-Trimethyl-12H,24H-Spiro[2,5,11,14,18,25-Hexaoxahexacyclo[24.2.1.03,9.04,6.09,27.013,15]Nonacosa-20,22-Diene-28,2'-Oxirane]-12,24-Dione
No suppilers available for the product.
Identification
Name 16-Hydroxy-19-(1-Hydroxyethyl)-6,15,27-Trimethyl-12H,24H-Spiro[2,5,11,14,18,25-Hexaoxahexacyclo[24.2.1.03,9.04,6.09,27.013,15]Nonacosa-20,22-Diene-28,2'-Oxirane]-12,24-Dione
Synonyms B800157K386
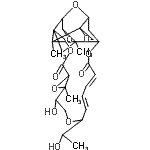
Molecular Structure CAS#: 63814-58-4, 16-Hydroxy-19-(1-Hydroxyethyl)-6,15,27-Trimethyl-12H,24H-Spiro[2,5,11,14,18,25-Hexaoxahexacyclo[24.2.1.0<Sup>3,9</Sup>.0<Sup>4,6</Sup>.0<Sup>9,27</Sup>.0<Sup>13,15</Sup>]Nonacosa-20,22-Diene-28,2'-Oxirane]-12,24-Dione
Molecular Formula C29H38O11
Molecular Weight 562.61
CAS Registry Number 63814-58-4
SMILES O=C/6OC5CC4OC2C1OC1(C)CCC2(C5(C)C34OC3)COC(=O)C7OC7(C)C(O)COC(\C=C\C=C\6)C(O)C
InChI 1S/C29H38O11/c1-15(30)16-7-5-6-8-20(32)37-18-11-19-29(14-36-29)27(18,4)28(10-9-25(2)21(39-25)22(28)38-19)13-35-24(33)23-26(3,40-23)17(31)12-34-16/h5-8,15-19,21-23,30-31H,9-14H2,1-4H3/b7-5-,8-6-
InChIKey DGBITFNXKQHKLI-SFECMWDFSA-N
Properties
Density 1.424g/cm3 (Cal.)
Boiling point 799.088°C at 760 mmHg (Cal.)
Flash point 263.755°C (Cal.)
Market Analysis Reports
List of Reports Available for 16-Hydroxy-19-(1-Hydroxyethyl)-6,15,27-Trimethyl-12H,24H-Spiro[2,5,11,14,18,25-Hexaoxahexacyclo[24.2.1.03,9.04,6.09,27.013,15]Nonacosa-20,22-Diene-28,2'-Oxirane]-12,24-Dione
Related Products
N-(1-Ethyl-1H-tetrazol-5-yl)-2-furamide  N-(1-Ethyl-1H-tetrazol-5-yl)-2-thiophene...  N-(1-Ethyl-1H-tetrazol-5-yl)benzamide  N-(1-Ethyl-1H-tetrazol-5-yl)-4-isopropyl...  4-Isopropyl-N-(1-methyl-1H-tetrazol-5-yl...  N-(1-Ethyl-1H-tetrazol-5-yl)-3-methoxybe...  3-Ethoxy-N-(1-methyl-1H-tetrazol-5-yl)be...  4-(1,3-Benzoxazol-2-yl)-2,6-dibromoanili...  4,6-Dibromo-3-(5,7-dimethyl-1,3-benzoxaz...  4,6-Dibromo-2-methyl-3-(5-methyl-1,3-ben...  2,4-Dibromo-3-(5-isopropyl-1,3-benzoxazo...  5-(4-Chloro-3-nitrophenyl)-2-furoyl chlo...  3,4-Diethyl-2H-chromen-2-one  9,10-Dihydrophenanthrene  Ethyl (4-ethyl-4-methyl-2-oxo-1,3-oxazol...