基本信息
| 产品名称 |
尿苷二磷酸酯 2-脱氧葡萄糖 |
| 英文名 |
Uridine Diphosphate 2-Deoxyglucose |
| 别名 |
[[(2R,3S,5R)-5-(2,4-Dioxopyrimidin-1-Yl)-3-Hydroxy-Tetrahydrofuran-2-Yl]Methoxy-Hydroxy-Phosphoryl] [(2R,3R,4S,5S,6R)-3,4,5-Trihydroxy-6-(Hydroxymethyl)Tetrahydropyran-2-Yl] Hydrogen Phosphate; [[(2R,3S,5R)-5-(2,4-Dioxo-1-Pyrimidinyl)-3-Hydroxy-2-Tetrahydrofuranyl]Methoxy-Hydroxyphosphoryl] [(2R,3R,4S,5S,6R)-3,4,5-Trihydroxy-6-(Hydroxymethyl)-2-Tetrahydropyranyl] Hydrogen Phosphate; [[(2R,3S,5R)-5-(2,4-Diketopyrimidin-1-Yl)-3-Hydroxy-Tetrahydrofuran-2-Yl]Methoxy-Hydroxy-Phosphoryl] [(2R,3R,4S,5S,6R)-3,4,5-Trihydroxy-6-Methylol-Tetrahydropyran-2-Yl] Hydrogen Phosphate |
|
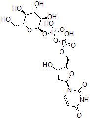
| 分子结构 |
 |
| 分子式 |
C15H24N2O16P2 |
| 分子量 |
550.31 |
| CAS 登录号 |
6659-40-1 |
| 分子行输入简码 SMILES |
[C@H]3(O[P](O[P](OC[C@H]2O[C@@H](N1C(=O)NC(=O)C=C1)C[C@@H]2O)(=O)O)(=O)O)O[C@@H]([C@@H](O)[C@H](O)[C@H]3O)CO |
| 国际化学标识码 InChI |
1S/C15H24N2O16P2/c18-4-7-11(21)12(22)13(23)14(31-7)32-35(27,28)33-34(25,26)29-5-8-6(19)3-10(30-8)17-2-1-9(20)16-15(17)24/h1-2,6-8,10-14,18-19,21-23H,3-5H2,(H,25,26)(H,27,28)(H,16,20,24)/t6-,7+,8+,10+,11+,12-,13+,14+/m0/s1 |
| 国际化学标识检索码 InChIKey |
AOQZFKXRCMSXKA-SEKGBAOZSA-N |
|