基本信息
| 产品名称 |
1,4-二氮杂双环(2.2.2)辛烷 N,N'-二硬脂基二氯化铵 |
| 英文名 |
1,4-Diazabicyclo(2.2.2)Octane N,N'-Distearyldiammonium dichloride |
| 别名 |
1,4-Distearyl-1,4-Diazoniabicyclo[2.2.2]Octane Dichloride; 1,4-Diazabicyclo(2.2.2)Octane N,N'-Distearyldiammonium; 1,4-Diazoniabicyclo(2.2.2)Octane, 1,4-Dioctadecyl-, Dichloride |
|
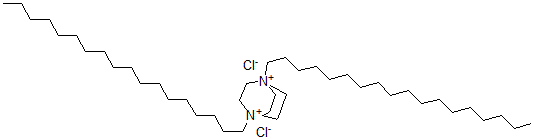
| 分子结构 |
 |
| 分子式 |
C42H86Cl2N2 |
| 分子量 |
690.06 |
| CAS 登录号 |
68254-32-0 |
| 分子行输入简码 SMILES |
C([N+]12CC[N+](CC1)(CC2)CCCCCCCCCCCCCCCCCC)CCCCCCCCCCCCCCCCC.[Cl-].[Cl-] |
| 国际化学标识码 InChI |
1S/C42H86N2.2ClH/c1-3-5-7-9-11-13-15-17-19-21-23-25-27-29-31-33-35-43-37-40-44(41-38-43,42-39-43)36-34-32-30-28-26-24-22-20-18-16-14-12-10-8-6-4-2;;/h3-42H2,1-2H3;2*1H/q+2;;/p-2 |
| 国际化学标识检索码 InChIKey |
DGJPQJFIWPPVCT-UHFFFAOYSA-L |
|