Online Database of Chemicals from Around the World

alpha-D-吡喃葡萄糖基-alpha-D-吡喃葡萄糖苷 6-(3-羟基-2-十四烷基十八烷酸酯)
[CAS# 68681-65-2]

供应商
CAS#: 68681-65-2
产品: alpha-D-吡喃葡萄糖基-alpha-D-吡喃葡萄糖苷 6-(3-羟基-2-十四烷基十八烷酸酯)
暂时没有厂家供应该产品。
基本信息
产品名称 alpha-D-吡喃葡萄糖基-alpha-D-吡喃葡萄糖苷 6-(3-羟基-2-十四烷基十八烷酸酯)
英文名 alpha-D-glucopyranosyl-alpha-D-Glucopyranoside 6-(3-hydroxy-2-tetradecyloctadecanoate)
别名 [(2R,3S,4S,5R,6R)-3,4,5-Trihydroxy-6-[(2R,3R,4S,5S,6R)-3,4,5-Trihydroxy-6-(Hydroxymethyl)Tetrahydropyran-2-Yl]Oxy-Tetrahydropyran-2-Yl]Methyl 3-Hydroxy-2-Tetradecyl-Octadecanoate; 3-Hydroxy-2-Tetradecyloctadecanoic Acid [(2R,3S,4S,5R,6R)-3,4,5-Trihydroxy-6-[[(2R,3R,4S,5S,6R)-3,4,5-Trihydroxy-6-(Hydroxymethyl)-2-Tetrahydropyranyl]Oxy]-2-Tetrahydropyranyl]Methyl Ester; 3-Hydroxy-2-Myristyl-Stearic Acid [(2R,3S,4S,5R,6R)-3,4,5-Trihydroxy-6-[(2R,3R,4S,5S,6R)-3,4,5-Trihydroxy-6-Methylol-Tetrahydropyran-2-Yl]Oxy-Tetrahydropyran-2-Yl]Methyl Ester
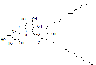
分子结构 CAS 登录号:68681-65-2, alpha-D-吡喃葡萄糖基-alpha-D-吡喃葡萄糖苷 6-(3-羟基-2-十四烷基十八烷酸酯)
分子式 C44H84O13
分子量 821.14
CAS 登录号 68681-65-2
分子行输入简码 SMILES [C@@H]2(O[C@@H]1[C@H](O)[C@@H](O)[C@H](O)[C@H](O1)CO)[C@H](O)[C@@H](O)[C@H](O)[C@H](O2)COC(C(C(CCCCCCCCCCCCCCC)O)CCCCCCCCCCCCCC)=O
国际化学标识码 InChI 1S/C44H84O13/c1-3-5-7-9-11-13-15-17-19-21-23-25-27-29-33(46)32(28-26-24-22-20-18-16-14-12-10-8-6-4-2)42(53)54-31-35-37(48)39(50)41(52)44(56-35)57-43-40(51)38(49)36(47)34(30-45)55-43/h32-41,43-52H,3-31H2,1-2H3/t32?,33?,34-,35-,36-,37-,38+,39+,40-,41-,43-,44-/m1/s1
国际化学标识检索码 InChIKey MNBUNKPMKFIPAD-CEOJNNGDSA-N
物理化学性质
密度 1.154g/cm3 (计算值)
沸点 896.115°C at 760 mmHg (计算值)
闪点 251.087°C (计算值)
市场分析报告
请浏览alpha-D-吡喃葡萄糖基-alpha-D-吡喃葡萄糖苷 6-(3-羟基-2-十四烷基十八烷酸酯)市场分析报告总目录
相关产品
2,3,4,5-四羟基己二酸二乙酯  (S)-[2,8-二(三氟甲基)喹啉-4-基]-[...  新癸酸银  3a,4,5,6,7,7alpha-六氢-4,7-...  乙酸辛酯单(甲基乙酸酯)衍生物  8-[(4-甲基苯基)氨基]-5-[[4-(苯基偶...  胺封端的聚(丙烯腈-丁二烯)  1-苯基乙基 2-氯乙酰乙酸酯  2-(2-羟基丙基)-1-甲基乙基水杨酸酯  1,2-二(2,4,6-三硝基苯基)肼  2,2-二[[3-(乙酰氧基)-2,2-二[(乙酰...  3-[[5-羟基-2-[(4-羟基苯基)磺酰基]苯...  2-(羟基甲基)丁烷-1,3-二醇钠盐  3-甲基戊烷-1,3,5-三醇钠盐  二氢-3-(4,6,8-三甲基-2-壬烯基)呋喃-...