Online Database of Chemicals from Around the World

抑肽基-精氨酸甲酯
[CAS# 70706-82-0]

供应商
CAS#: 70706-82-0
产品: 抑肽基-精氨酸甲酯
暂时没有厂家供应该产品。
基本信息
产品名称 抑肽基-精氨酸甲酯
英文名 Pepstatyl-Arginine Methyl Ester
别名 Methyl (2S)-5-Guanidino-2-[[(3S,4S)-3-Hydroxy-4-[[(2S)-2-[[(4S)-3-Hydroxy-6-Methyl-4-[[(1S)-2-Methyl-1-[[(2S)-3-Methyl-2-(3-Methylbutanoylamino)Butanoyl]Carbamoyl]Propyl]Amino]Heptanoyl]Amino]Propanoyl]Amino]-6-Methyl-Heptanoyl]Amino]Pentanoate; (2S)-5-Guanidino-2-[[(3S,4S)-3-Hydroxy-4-[[(2S)-2-[[(4S)-3-Hydroxy-6-Methyl-4-[[(1S)-2-Methyl-1-[[[(2S)-3-Methyl-2-[(3-Methyl-1-Oxobutyl)Amino]-1-Oxobutyl]Amino]-Oxomethyl]Propyl]Amino]-1-Oxoheptyl]Amino]-1-Oxopropyl]Amino]-6-Methyl-1-Oxoheptyl]Amino]Pentanoic Acid Methyl Ester; (2S)-5-Guanidino-2-[[(3S,4S)-3-Hydroxy-4-[[(2S)-2-[[(4S)-3-Hydroxy-4-[[(1S)-1-[[(2S)-2-(Isovalerylamino)-3-Methyl-Butanoyl]Carbamoyl]-2-Methyl-Propyl]Amino]-6-Methyl-Heptanoyl]Amino]Propanoyl]Amino]-6-Methyl-Heptanoyl]Amino]Valeric Acid Methyl Ester
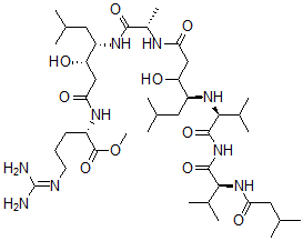
分子结构 CAS 登录号:70706-82-0, 抑肽基-精氨酸甲酯
分子式 C41H77N9O10
分子量 856.11
CAS 登录号 70706-82-0
分子行输入简码 SMILES [C@H](N[C@@H](C(C)C)C(=O)NC(=O)[C@@H](NC(=O)CC(C)C)C(C)C)(CC(C)C)C(O)CC(=O)N[C@H](C(=O)N[C@@H](CC(C)C)[C@@H](O)CC(=O)N[C@@H](CCCN=C(N)N)C(OC)=O)C
国际化学标识码 InChI 1S/C41H77N9O10/c1-21(2)16-28(47-35(24(7)8)38(57)50-39(58)36(25(9)10)49-32(53)18-23(5)6)30(51)19-33(54)45-26(11)37(56)48-29(17-22(3)4)31(52)20-34(55)46-27(40(59)60-12)14-13-15-44-41(42)43/h21-31,35-36,47,51-52H,13-20H2,1-12H3,(H,45,54)(H,46,55)(H,48,56)(H,49,53)(H4,42,43,44)(H,50,57,58)/t26-,27-,28-,29-,30?,31-,35-,36-/m0/s1
国际化学标识检索码 InChIKey KDYMFVJJBFHWFB-IEXNTVKMSA-N
物理化学性质
密度 1.244g/cm3 (计算值)
市场分析报告
请浏览抑肽基-精氨酸甲酯市场分析报告总目录
相关产品
谷氨酰-抑肽基  天冬氨酰-抑肽基  胆绿素XIIIgamma  2-(1,3-二噻戊环-2-基)苯基甲基氨基甲酸酯  3-甲基-1,3-二氮杂螺[4.5]癸烷-2,4-...  1,5-二(2-甲氧基-4-硝基-5-磺基苯基)-...  2-十五烷氧基乙醇  2-乙基己基二(2-羟基乙基)磷酸酯  1,4-二((2-((2-羟基乙基)氨基)乙基)氨...  二乙基 2-二乙氧基磷酰丁二酸酯  (1aalpha,3aalpha,9bbeta)-...  (Z,2R)-2-羟基-N-[(2S,4E,8E)...  Tsukushinamine A  1-(二苯基甲基)-4-(2-丙烯基)哌嗪二盐酸盐  硒化钐