Online Database of Chemicals from Around the World

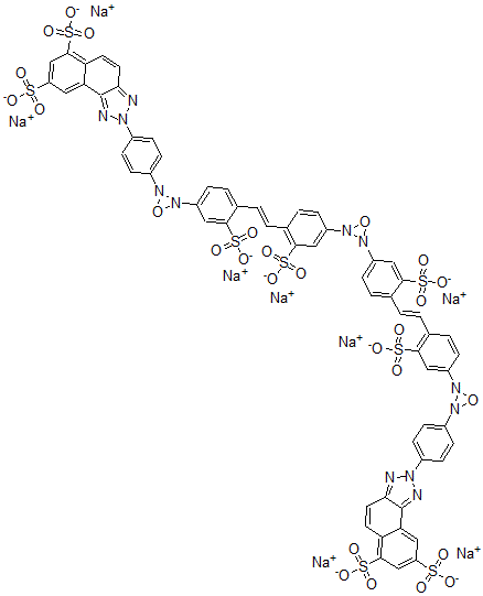
2,2'-[2,3-氧杂二氮杂环丙烷二基二[(2-磺基-4,1-亚苯基)-2,1-乙烯二基(3-磺基-4,1-亚苯基)-3,2-氧杂二氮杂环丙烷二基-4,1-亚苯基]]二-2H-萘并[1,2-d]三唑-6,8-二磺酸八钠盐
[CAS# 71701-34-3]

供应商
CAS#: 71701-34-3
产品: 2,2'-[2,3-氧杂二氮杂环丙烷二基二[(2-磺基-4,1-亚苯基)-2,1-乙烯二基(3-磺基-4,1-亚苯基)-3,2-氧杂二氮杂环丙烷二基-4,1-亚苯基]]二-2H-萘并[1,2-d]三唑-6,8-二磺酸八钠盐
暂时没有厂家供应该产品。
基本信息
产品名称 2,2'-[2,3-氧杂二氮杂环丙烷二基二[(2-磺基-4,1-亚苯基)-2,1-乙烯二基(3-磺基-4,1-亚苯基)-3,2-氧杂二氮杂环丙烷二基-4,1-亚苯基]]二-2H-萘并[1,2-d]三唑-6,8-二磺酸八钠盐
英文名 2,2'-[2,3-Oxadiaziridinediylbis[(2-Sulfo-4,1-Phenylene)-2,1-Ethenediyl(3-Sulfo-4,1-Phenylene)-3,2-Oxadiaziridinediyl-4,1-Phenylene]]Bis-2H-Naphtho[1,2-d]Triazole-6,8-Disulfonic Acid Octasodium Salt
分子结构 CAS 登录号:71701-34-3, 2,2'-[2,3-氧杂二氮杂环丙烷二基二[(2-磺基-4,1-亚苯基)-2,1-乙烯二基(3-磺基-4,1-亚苯基)-3,2-氧杂二氮杂环丙烷二基-4,1-亚苯基]]二-2H-萘并[1,2-d]三唑-6,8-二磺酸八钠盐
分子式 C60H32N12Na8O27S8
分子量 1793.38
CAS 登录号 71701-34-3
分子行输入简码 SMILES C1=C(C=C2C(=C1[S]([O-])(=O)=O)C=CC3=N[N](N=C23)C4=CC=C(C=C4)[N]5[N](O5)C6=CC=C(C(=C6)[S]([O-])(=O)=O)/C=C/C7=C(C=C(C=C7)[N]%15[N](C8=CC=C(C(=C8)[S]([O-])(=O)=O)/C=C/C9=C(C=C(C=C9)[N]%14[N](C%13=CC=C([N]%12N=C%11C=CC%10=C([S]([O-])(=O)=O)C=C(C=C%10C%11=N%12)[S]([O-])(=O)=O)C=C%13)O%14)[S]([O-])(=O)=O)O%15)[S]([O-])(=O)=O)[S]([O-])(=O)=O.[Na+].[Na+].[Na+].[Na+].[Na+].[Na+].[Na+].[Na+]
国际化学标识码 InChI 1S/C60H40N12O27S8.8Na/c73-100(74,75)45-29-49-47(57(31-45)106(91,92)93)21-23-51-59(49)63-65(61-51)37-13-17-39(18-14-37)67-69(97-67)41-9-5-33(53(25-41)102(79,80)81)1-3-35-7-11-43(27-55(35)104(85,86)87)71-72(99-71)44-12-8-36(56(28-44)105(88,89)90)4-2-34-6-10-42(26-54(34)103(82,83)84)70-68(98-70)40-19-15-38(16-20-40)66-62-52-24-22-48-50(60(52)64-66)30-46(101(76,77)78)32-58(48)107(94,95)96;;;;;;;;/h1-32H,(H,73,74,75)(H,76,77,78)(H,79,80,81)(H,82,83,84)(H,85,86,87)(H,88,89,90)(H,91,92,93)(H,94,95,96);;;;;;;;/q;8*+1/p-8/b3-1+,4-2+;;;;;;;;
国际化学标识检索码 InChIKey WWIAOQHJNMCABG-KWMQIWAYSA-F
市场分析报告
请浏览2,2'-[2,3-氧杂二氮杂环丙烷二基二[(2-磺基-4,1-亚苯基)-2,1-乙烯二基(3-磺基-4,1-亚苯基)-3,2-氧杂二氮杂环丙烷二基-4,1-亚苯基]]二-2H-萘并[1,2-d]三唑-6,8-二磺酸八钠盐市场分析报告总目录
相关产品
5-苯氧基-N-戊酸  3-(2-氯苯氧基)丙酸  3-(3-氯-苯氧基)-丙酸  3-[(1-甲基乙基)硫代]-1H-1,2,4-三...  N-羟基-N-(4-苯氧基苯基)乙酰胺  Cystografin  (2S)-2-[[4-[(2-氨基-4-氧代-1H...  5-乙氧基-6-((4-甲氧基苯基)甲基)-1,3...  5-甲氧基-6-[1-(4-甲氧基苯基)乙基]-1...  2-硝基-3,7,8-三氯二苯并-4-二恶英  2-[1-(4-甲氧基苯基)亚乙基]-1-氨基甲酰...  3-(对氟-alpha-甲基苄基)肼基甲酸甲酯  2-(2-甲氧基乙基)吡啶硫酸盐  1,2,3,6-四氢-1,3-二甲基-2,6-二氧...  4-(3-硝基苯基)-6-(4-硝基苯基)-2-(...