Online Database of Chemicals from Around the World

氨基丙基钴胺素
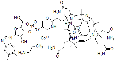
[CAS# 72728-11-1]

供应商
CAS#: 72728-11-1
产品: 氨基丙基钴胺素
暂时没有厂家供应该产品。
基本信息
产品名称 氨基丙基钴胺素
英文名 Aminopropylcobalamin
别名 Cobinamide, Co-(3-Aminopropyl) Deriv., Hydroxide, Dihydrogen Phosphate (Ester), Inner Salt, 3'-Ester With 5,6-Dimethyl-1-Alpha-D-Ribofuranosyl-1H-Benzimidazole
分子结构 CAS 登录号:72728-11-1, 氨基丙基钴胺素
分子式 C65H96CoN14O14P
分子量 1387.47
CAS 登录号 72728-11-1
分子行输入简码 SMILES [Co+3].N1=C6C(C(C1(C2N=C(C(C2CC(=O)N)(CCC(=O)NCC(O[P](OC3C(O)C(OC3CO)[N]5C4=CC(=C(C=C4N=C5)C)C)([O-])=O)C)C)C(=C8[N-]C(=CC7=NC(=C6C)C(C7CCC(=O)N)(CC(=O)N)C)C(C8CCC(=O)N)(C)C)C)C)(CC(=O)N)C)CCC(=O)N.[CH2-]CCN
国际化学标识码 InChI 1S/C62H90N13O14P.C3H8N.Co/c1-29-20-39-40(21-30(29)2)75(28-70-39)57-52(84)53(41(27-76)87-57)89-90(85,86)88-31(3)26-69-49(83)18-19-59(8)37(22-46(66)80)56-62(11)61(10,25-48(68)82)36(14-17-45(65)79)51(74-62)33(5)55-60(9,24-47(67)81)34(12-15-43(63)77)38(71-55)23-42-58(6,7)35(13-16-44(64)78)50(72-42)32(4)54(59)73-56;1-2-3-4;/h20-21,23,28,31,34-37,41,52-53,56-57,76,84H,12-19,22,24-27H2,1-11H3,(H15,63,64,65,66,67,68,69,71,72,73,74,77,78,79,80,81,82,83,85,86);1-4H2;/q;-1;+3/p-2
国际化学标识检索码 InChIKey BUSHCRZUAUKJDC-UHFFFAOYSA-L
市场分析报告
请浏览氨基丙基钴胺素市场分析报告总目录
相关产品
3-(4-吡啶基)吲哚  1-羟基-5-甲氧基-6-甲基吡啶-2-酮  (4-氯-2-甲基苯氧基)乙酸钙  1,5,6,7-四氢-1,2,3-三甲基-4H-吲...  N-[4-(4-氨基-3-氯苯基)-2-氯苯基]乙...  N-[(5E)-5-[(3-羟基苯基)亚甲基]-4...  N-[(5E)-5-[(4-羟基-3-甲氧基苯基)...  N-(5-环己基亚基-4-氧代-2-巯基-1,3-...  N-[(5E)-5-(呋喃-2-基亚甲基)-4-氧...  N-[(5E)-5-[(E)-4-呋喃-2-基丁-...  2-甲基-4-(2-甲基氨基乙氧基)-5-丙-2-...  4,4'-二羟基安替比林  萤光素  [(N-亚硝基甲基氨基)甲基]氨基甲酸异丙基酯  4-氨基-N-(1,1,1-三氟丙烷-2-亚基氨基...