Online Database of Chemicals from Around the World

3-[6-(3-Amino-1-Hydroxy-3-Oxopropyl)-12-(2-Amino-2-Oxoethyl)-21-(Carboxymethyl)-15,18-Bis(Hydroxymethyl)-10,13,25-Trimethyl-24-(12-Methyltetradecanoylamino)-2,5,8,11,14,17,20,23-Octaoxo-9-(Phenylmethyl)-1-Oxa-4,7,10,13,16,19,22-Heptazacyclopentacos-3-Yl]Propanoic Acid
[CAS# 73666-47-4]

Suppliers
CAS#: 73666-47-4
Product: 3-[6-(3-Amino-1-Hydroxy-3-Oxopropyl)-12-(2-Amino-2-Oxoethyl)-21-(Carboxymethyl)-15,18-Bis(Hydroxymethyl)-10,13,25-Trimethyl-24-(12-Methyltetradecanoylamino)-2,5,8,11,14,17,20,23-Octaoxo-9-(Phenylmethyl)-1-Oxa-4,7,10,13,16,19,22-Heptazacyclopentacos-3-Yl]Propanoic Acid
No suppilers available for the product.
Identification
Name 3-[6-(3-Amino-1-Hydroxy-3-Oxopropyl)-12-(2-Amino-2-Oxoethyl)-21-(Carboxymethyl)-15,18-Bis(Hydroxymethyl)-10,13,25-Trimethyl-24-(12-Methyltetradecanoylamino)-2,5,8,11,14,17,20,23-Octaoxo-9-(Phenylmethyl)-1-Oxa-4,7,10,13,16,19,22-Heptazacyclopentacos-3-Yl]Propanoic Acid
Synonyms 3-[6-(3-Amino-1-Hydroxy-3-Oxo-Propyl)-12-(2-Amino-2-Oxo-Ethyl)-21-(Carboxymethyl)-15,18-Bis(Hydroxymethyl)-10,13,25-Trimethyl-24-(12-Methyltetradecanoylamino)-2,5,8,11,14,17,20,23-Octaoxo-9-(Phenylmethyl)-1-Oxa-4,7,10,13,16,19,22-Heptazacyclopentacos-3-Yl]Propanoic Acid; 3-[6-(3-Amino-1-Hydroxy-3-Oxopropyl)-12-(2-Amino-2-Oxoethyl)-21-(Carboxymethyl)-15,18-Bis(Hydroxymethyl)-10,13,25-Trimethyl-24-[(12-Methyl-1-Oxotetradecyl)Amino]-2,5,8,11,14,17,20,23-Octaoxo-9-(Phenylmethyl)-1-Oxa-4,7,10,13,16,19,22-Heptazacyclopentacos-3-Yl]Propanoic Acid; 3-[6-(3-Amino-1-Hydroxy-3-Keto-Propyl)-12-(2-Amino-2-Keto-Ethyl)-9-(Benzyl)-21-(Carboxymethyl)-2,5,8,11,14,17,20,23-Octaketo-10,13,25-Trimethyl-15,18-Dimethylol-24-(12-Methyltetradecanoylamino)-1-Oxa-4,7,10,13,16,19,22-Heptazacyclopentacos-3-Yl]Propionic Acid
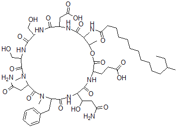
Molecular Structure CAS#: 73666-47-4, 3-[6-(3-Amino-1-Hydroxy-3-Oxopropyl)-12-(2-Amino-2-Oxoethyl)-21-(Carboxymethyl)-15,18-Bis(Hydroxymethyl)-10,13,25-Trimethyl-24-(12-Methyltetradecanoylamino)-2,5,8,11,14,17,20,23-Octaoxo-9-(Phenylmethyl)-1-Oxa-4,7,10,13,16,19,22-Heptazacyclopentacos-3-Yl]Propanoic Acid
Molecular Formula C54H84N10O19
Molecular Weight 1177.31
CAS Registry Number 73666-47-4
SMILES C2=C(CC1N(C(=O)C(N(C(=O)C(NC(=O)C(NC(=O)C(NC(=O)C(NC(=O)CCCCCCCCCCC(CC)C)C(OC(=O)C(NC(=O)C(NC1=O)C(O)CC(=O)N)CCC(=O)O)C)CC(=O)O)CO)CO)C)CC(=O)N)C)C=CC=C2
InChI 1S/C54H84N10O19/c1-6-30(2)18-14-11-9-7-8-10-12-17-21-42(70)61-45-31(3)83-54(82)33(22-23-43(71)72)57-51(79)46(39(67)27-41(56)69)62-49(77)37(24-32-19-15-13-16-20-32)63(4)53(81)38(26-40(55)68)64(5)52(80)36(29-66)60-48(76)35(28-65)59-47(75)34(25-44(73)74)58-50(45)78/h13,15-16,19-20,30-31,33-39,45-46,65-67H,6-12,14,17-18,21-29H2,1-5H3,(H2,55,68)(H2,56,69)(H,57,79)(H,58,78)(H,59,75)(H,60,76)(H,61,70)(H,62,77)(H,71,72)(H,73,74)
InChIKey AXMACOGXBDPVJT-UHFFFAOYSA-N
Properties
Density 1.362g/cm3 (Cal.)
Boiling point 1587.815°C at 760 mmHg (Cal.)
Flash point 914.077°C (Cal.)
Market Analysis Reports
List of Reports Available for 3-[6-(3-Amino-1-Hydroxy-3-Oxopropyl)-12-(2-Amino-2-Oxoethyl)-21-(Carboxymethyl)-15,18-Bis(Hydroxymethyl)-10,13,25-Trimethyl-24-(12-Methyltetradecanoylamino)-2,5,8,11,14,17,20,23-Octaoxo-9-(Phenylmethyl)-1-Oxa-4,7,10,13,16,19,22-Heptazacyclopentacos-3-Yl]Propanoic Acid
Related Products
N1-(20-Amino-6,13,20-Triimino-5,7,12,14,...  Antibiotic Dc 11  C08991  (1S,5aR)-N,N-Diethyl-6,9a,11a-Trimethyl-...  (1S,3aS,3bS,5aR,9aR,9bS,11aS)-1-Acetyl-6...  7alpha-Methyl-alpha-Nor-5alpha-Androstan...  (6-Oxo-2-Phenyl-1,3-Thiazin-4-Yl) Benzoa...  8-(4-Fluorophenyl)-6-(Trifluoromethyl)-[...  5-Butyl-4-Nonene  (5alpha)-4,5-Epoxy-3,14-Dihydroxy-17-(2-...  (5alpha)-17-(Cyclopropylmethyl)-4,5-Epox...  (2S)-6-Amino-2-[[(2S)-2-[[(2S)-2-Amino-4...  1-Ethylazocane  Disodium 2',4',5',7'-Tetraiodo-6-Isothio...  2-Chloro-5-(1-Hydroxy-3-Oxo-2H-Isoindol-...