Online Database of Chemicals from Around the World

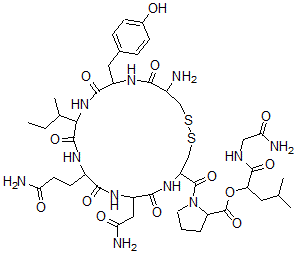
[1-[(2-氨基-2-氧代乙基)氨基]-4-甲基-1-氧代戊烷-2-基]1-[19-氨基-7-(2-氨基-2-氧代乙基)-10-(3-氨基-3-氧代丙基)-13-丁烷-2-基-16-[(4-羟基苯基)甲基]-6,9,12,15,18-五氧代1,2-二硫杂-5,8,11,14,17-五氮杂环二十烷-4-羰基]吡咯烷-2-羧酸酯
[CAS# 75607-76-0]

供应商
CAS#: 75607-76-0
产品: [1-[(2-氨基-2-氧代乙基)氨基]-4-甲基-1-氧代戊烷-2-基]1-[19-氨基-7-(2-氨基-2-氧代乙基)-10-(3-氨基-3-氧代丙基)-13-丁烷-2-基-16-[(4-羟基苯基)甲基]-6,9,12,15,18-五氧代1,2-二硫杂-5,8,11,14,17-五氮杂环二十烷-4-羰基]吡咯烷-2-羧酸酯
暂时没有厂家供应该产品。
基本信息
产品名称 [1-[(2-氨基-2-氧代乙基)氨基]-4-甲基-1-氧代戊烷-2-基]1-[19-氨基-7-(2-氨基-2-氧代乙基)-10-(3-氨基-3-氧代丙基)-13-丁烷-2-基-16-[(4-羟基苯基)甲基]-6,9,12,15,18-五氧代1,2-二硫杂-5,8,11,14,17-五氮杂环二十烷-4-羰基]吡咯烷-2-羧酸酯
英文名 [1-[(2-Amino-2-Oxoethyl)Amino]-4-Methyl-1-Oxopentan-2-Yl] 1-[19-Amino-7-(2-Amino-2-Oxoethyl)-10-(3-Amino-3-Oxopropyl)-13-Butan-2-Yl-16-[(4-Hydroxyphenyl)Methyl]-6,9,12,15,18-Pentaoxo1,2-Dithia-5,8,11,14,17-Pentazacycloicosane-4-Carbonyl]Pyrrolidine-2-Carboxylate
别名 [1-[(2-Amino-2-Oxo-Ethyl)Carbamoyl]-3-Methyl-Butyl] 1-[19-Amino-7-(2-Amino-2-Oxo-Ethyl)-10-(3-Amino-3-Oxo-Propyl)-16-[(4-Hydroxyphenyl)Methyl]-6,9,12,15,18-Pentaoxo-13-Sec-Butyl-1,2-Dithia-5,8,11,14,17-Pentazacycloicosane-4-Carbonyl]Pyrrolidine-2-Carboxylate; 1-[[19-Amino-7-(2-Amino-2-Oxoethyl)-10-(3-Amino-3-Oxopropyl)-16-[(4-Hydroxyphenyl)Methyl]-6,9,12,15,18-Pentaoxo-13-Sec-Butyl-1,2-Dithia-5,8,11,14,17-Pentazacycloicos-4-Yl]-Oxomethyl]-2-Pyrrolidinecarboxylic Acid [1-[[(2-Amino-2-Oxoethyl)Amino]-Oxomethyl]-3-Methylbutyl] Ester; 1-[19-Amino-7-(2-Amino-2-Keto-Ethyl)-10-(3-Amino-3-Keto-Propyl)-16-(4-Hydroxybenzyl)-6,9,12,15,18-Pentaketo-13-Sec-Butyl-1,2-Dithia-5,8,11,14,17-Pentazacycloicosane-4-Carbonyl]Pyrrolidine-2-Carboxylic Acid [1-[(2-Amino-2-Keto-Ethyl)Carbamoyl]-3-Methyl-Butyl] Ester
分子结构 CAS 登录号:75607-76-0, [1-[(2-氨基-2-氧代乙基)氨基]-4-甲基-1-氧代戊烷-2-基]1-[19-氨基-7-(2-氨基-2-氧代乙基)-10-(3-氨基-3-氧代丙基)-13-丁烷-2-基-16-[(4-羟基苯基)甲基]-6,9,12,15,18-五氧代1,2-二硫杂-5,8,11,14,17-五氮杂环二十烷-4-羰基]吡咯烷-2-羧酸酯
分子式 C43H65N11O13S2
分子量 1008.17
CAS 登录号 75607-76-0
分子行输入简码 SMILES C3=C(CC1NC(=O)C(N)CSSCC(NC(=O)C(NC(=O)C(NC(=O)C(NC1=O)C(CC)C)CCC(=O)N)CC(=O)N)C(=O)N2C(C(OC(C(=O)NCC(=O)N)CC(C)C)=O)CCC2)C=CC(=C3)O
国际化学标识码 InChI 1S/C43H65N11O13S2/c1-5-22(4)35-41(64)49-26(12-13-32(45)56)37(60)51-28(17-33(46)57)38(61)52-29(20-69-68-19-25(44)36(59)50-27(39(62)53-35)16-23-8-10-24(55)11-9-23)42(65)54-14-6-7-30(54)43(66)67-31(15-21(2)3)40(63)48-18-34(47)58/h8-11,21-22,25-31,35,55H,5-7,12-20,44H2,1-4H3,(H2,45,56)(H2,46,57)(H2,47,58)(H,48,63)(H,49,64)(H,50,59)(H,51,60)(H,52,61)(H,53,62)
国际化学标识检索码 InChIKey LTQDOSYZJIQEAM-UHFFFAOYSA-N
物理化学性质
密度 1.276g/cm3 (计算值)
沸点 1473.778°C at 760 mmHg (计算值)
闪点 845.111°C (计算值)
市场分析报告
请浏览[1-[(2-氨基-2-氧代乙基)氨基]-4-甲基-1-氧代戊烷-2-基]1-[19-氨基-7-(2-氨基-2-氧代乙基)-10-(3-氨基-3-氧代丙基)-13-丁烷-2-基-16-[(4-羟基苯基)甲基]-6,9,12,15,18-五氧代1,2-二硫杂-5,8,11,14,17-五氮杂环二十烷-4-羰基]吡咯烷-2-羧酸酯市场分析报告总目录
相关产品
4-甲基哌嗪-1-羧酸甲酯  二氯乙酸乙烯基酯  4-[(3-环戊基氧基-4-甲氧基苯基)甲基]咪唑...  2-(4-甲基苯基)-1H-茚-1,3(2H)-二...  N-[4-氯-2-(2-氯苯甲酰基)苯基]-2-(...  N-[4-氯-2-(2-氯苯甲酰基)苯基]-N-甲...  N-[4-氯-2-(2-氯苯甲酰基)苯基]-2-(...  N-[4-氯-2-(2-氯苯甲酰基)苯基]-2-(...  丁-2-烯二酸;N-[4-氯-2-(2-氯苯甲酰基...  丁-2-烯二酸;N-[4-氯-2-(2-氯苯甲酰基...  N-[4-氯-2-(2-氯苯甲酰基)苯基]-N-甲...  2-(2,4-二甲基苯基)-1H-茚-1,3(2H...  三活菌素  (3-甲基-1,2-恶唑-5-基)甲基-三苯基磷鎓...  1,2,3,4,6,7-六溴萘