Online Database of Chemicals from Around the World

3-[(3R,6R,9S,16S,19R,22S,25S)-3,9-Bis(2-Amino-2-Oxoethyl)-16-(1-Hydroxyethyl)-19-(Hydroxymethyl)-6-[(4-Hydroxyphenyl)Methyl]-13-Octyl-2,5,8,11,15,18,21,24-Octaoxo-1,4,7,10,14,17,20,23-Octazabicyclo[23.3.0]Octacosan-22-Yl]Propanoic Acid
[CAS# 76012-17-4]

Suppliers
CAS#: 76012-17-4
Product: 3-[(3R,6R,9S,16S,19R,22S,25S)-3,9-Bis(2-Amino-2-Oxoethyl)-16-(1-Hydroxyethyl)-19-(Hydroxymethyl)-6-[(4-Hydroxyphenyl)Methyl]-13-Octyl-2,5,8,11,15,18,21,24-Octaoxo-1,4,7,10,14,17,20,23-Octazabicyclo[23.3.0]Octacosan-22-Yl]Propanoic Acid
No suppilers available for the product.
Identification
Name 3-[(3R,6R,9S,16S,19R,22S,25S)-3,9-Bis(2-Amino-2-Oxoethyl)-16-(1-Hydroxyethyl)-19-(Hydroxymethyl)-6-[(4-Hydroxyphenyl)Methyl]-13-Octyl-2,5,8,11,15,18,21,24-Octaoxo-1,4,7,10,14,17,20,23-Octazabicyclo[23.3.0]Octacosan-22-Yl]Propanoic Acid
Synonyms 3-[(3R,6R,9S,16S,19R,22S,25S)-3,9-Bis(2-Amino-2-Oxo-Ethyl)-16-(1-Hydroxyethyl)-19-(Hydroxymethyl)-6-[(4-Hydroxyphenyl)Methyl]-13-Octyl-2,5,8,11,15,18,21,24-Octaoxo-1,4,7,10,14,17,20,23-Octazabicyclo[23.3.0]Octacosan-22-Yl]Propanoic Acid; 3-[(3R,6R,9S,16S,19R,22S,25S)-3,9-Bis(2-Amino-2-Keto-Ethyl)-6-(4-Hydroxybenzyl)-16-(1-Hydroxyethyl)-2,5,8,11,15,18,21,24-Octaketo-19-Methylol-13-Octyl-1,4,7,10,14,17,20,23-Octazabicyclo[23.3.0]Octacosan-22-Yl]Propionic Acid; Bacillomycin D
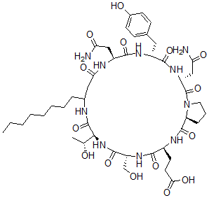
Molecular Structure CAS#: 76012-17-4, 3-[(3R,6R,9S,16S,19R,22S,25S)-3,9-Bis(2-Amino-2-Oxoethyl)-16-(1-Hydroxyethyl)-19-(Hydroxymethyl)-6-[(4-Hydroxyphenyl)Methyl]-13-Octyl-2,5,8,11,15,18,21,24-Octaoxo-1,4,7,10,14,17,20,23-Octazabicyclo[23.3.0]Octacosan-22-Yl]Propanoic Acid
Molecular Formula C45H68N10O15
Molecular Weight 989.09
CAS Registry Number 76012-17-4
SMILES [C@@H]13N(C(=O)[C@H](NC(=O)[C@H](NC(=O)[C@@H](NC(=O)CC(NC(=O)[C@@H](NC(=O)[C@H](NC(=O)[C@@H](NC1=O)CCC(O)=O)CO)[C@H](O)C)CCCCCCCC)CC(=O)N)CC2=CC=C(O)C=C2)CC(=O)N)CCC3
InChI 1S/C45H68N10O15/c1-3-4-5-6-7-8-10-26-20-36(61)49-30(21-34(46)59)41(66)51-29(19-25-12-14-27(58)15-13-25)40(65)52-31(22-35(47)60)45(70)55-18-9-11-33(55)43(68)50-28(16-17-37(62)63)39(64)53-32(23-56)42(67)54-38(24(2)57)44(69)48-26/h12-15,24,26,28-33,38,56-58H,3-11,16-23H2,1-2H3,(H2,46,59)(H2,47,60)(H,48,69)(H,49,61)(H,50,68)(H,51,66)(H,52,65)(H,53,64)(H,54,67)(H,62,63)/t24-,26?,28+,29-,30+,31-,32-,33+,38+/m1/s1
InChIKey VLKSXJAPRDAENT-OWGHDAAGSA-N
Properties
Density 1.401g/cm3 (Cal.)
Boiling point 1536.586°C at 760 mmHg (Cal.)
Flash point 883.095°C (Cal.)
Market Analysis Reports
List of Reports Available for 3-[(3R,6R,9S,16S,19R,22S,25S)-3,9-Bis(2-Amino-2-Oxoethyl)-16-(1-Hydroxyethyl)-19-(Hydroxymethyl)-6-[(4-Hydroxyphenyl)Methyl]-13-Octyl-2,5,8,11,15,18,21,24-Octaoxo-1,4,7,10,14,17,20,23-Octazabicyclo[23.3.0]Octacosan-22-Yl]Propanoic Acid
Related Products
(8aS-(8aalpha,9abeta,10abeta,10balpha))-...  4-Amino-2-[[2-(2,4-Diaminobutanoylamino)...  5-(3-Dimethylaminopropylidene)benzofuro(...  N-[4-(Acridin-9-Ylamino)Phenyl]Benzamide  4-[(3-Aminoacridin-9-Yl)Amino]Phenol  N'-(4-Aminophenyl)Acridine-3,9-Diamine  4-[(3-Aminoacridin-9-Yl)Amino]Benzenesul...  N-[4-[(3-Aminoacridin-9-Yl)Amino]Phenyl]...  N-[4-[(3,6-Diaminoacridin-9-Yl)Amino]Phe...  Tetrandrini Dimethiodidum  N,N'-Dimethyl-N,N'-dinitrosooxamide  Bromodiethylaluminum  5,8-Dimethoxy-1,2,3,4-Tetrahydroisoquino...  4-(Quinolin-2-Ylhydrazinylidene)Cyclohex...  1-Cyclohexylpropan-2-Ol