Online Database of Chemicals from Around the World

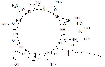
N-[2-[5,14,17,23,29-五(2-氨基乙基)-20,26-二(1-羟基乙基)-11-[(4-羟基苯基)甲基]-8-(2-甲基丙基)-3,6,9,12,15,18,21,24,27,30-十氧代-1,4,7,10,13,16,19,22,25,28-十氮杂环三十碳-2-基]乙基]壬酰胺五盐酸盐
[CAS# 77554-83-7]

供应商
CAS#: 77554-83-7
产品: N-[2-[5,14,17,23,29-五(2-氨基乙基)-20,26-二(1-羟基乙基)-11-[(4-羟基苯基)甲基]-8-(2-甲基丙基)-3,6,9,12,15,18,21,24,27,30-十氧代-1,4,7,10,13,16,19,22,25,28-十氮杂环三十碳-2-基]乙基]壬酰胺五盐酸盐
暂时没有厂家供应该产品。
基本信息
产品名称 N-[2-[5,14,17,23,29-五(2-氨基乙基)-20,26-二(1-羟基乙基)-11-[(4-羟基苯基)甲基]-8-(2-甲基丙基)-3,6,9,12,15,18,21,24,27,30-十氧代-1,4,7,10,13,16,19,22,25,28-十氮杂环三十碳-2-基]乙基]壬酰胺五盐酸盐
英文名 N-[2-[5,14,17,23,29-Pentakis(2-Aminoethyl)-20,26-Bis(1-Hydroxyethyl)-11-[(4-Hydroxyphenyl)Methyl]-8-(2-Methylpropyl)-3,6,9,12,15,18,21,24,27,30-Decaoxo-1,4,7,10,13,16,19,22,25,28-Decazacyclotriacont-2-Yl]Ethyl]Nonanamide Pentahydrochloride
别名 N-[2-[5,14,17,23,29-Pentakis(2-Aminoethyl)-20,26-Bis(1-Hydroxyethyl)-11-[(4-Hydroxyphenyl)Methyl]-8-Isobutyl-3,6,9,12,15,18,21,24,27,30-Decaoxo-1,4,7,10,13,16,19,22,25,28-Decazacyclotriacont-2-Yl]Ethyl]Nonanamide Pentahydrochloride; N-[2-[5,14,17,23,29-Pentakis(2-Aminoethyl)-11-(4-Hydroxybenzyl)-20,26-Bis(1-Hydroxyethyl)-8-Isobutyl-3,6,9,12,15,18,21,24,27,30-Decaketo-1,4,7,10,13,16,19,22,25,28-Decazacyclotriacont-2-Yl]Ethyl]Pelargonamide Pentahydrochloride; Cyclic(L-Alpha,Gamma-Diaminobutyryl-Ngamma-(1-Oxononyl)-L-Alpha,Gamma-Diaminobutyryl-L-Alpha,Gamma-Diaminobutyryl-D-Leucyl-L-Threonyl-L-Alpha,Gamma-Diaminobutyryl-L-Alpha,Gamma-Diaminobutyryl-L-Threonyl-L-Alpha,Gamma-Diaminobutyryl-L-Threonyl), Pentahydrochloride
分子结构 CAS 登录号:77554-83-7, N-[2-[5,14,17,23,29-五(2-氨基乙基)-20,26-二(1-羟基乙基)-11-[(4-羟基苯基)甲基]-8-(2-甲基丙基)-3,6,9,12,15,18,21,24,27,30-十氧代-1,4,7,10,13,16,19,22,25,28-十氮杂环三十碳-2-基]乙基]壬酰胺五盐酸盐
分子式 C56H103Cl5N16O14
分子量 1401.79
CAS 登录号 77554-83-7
分子行输入简码 SMILES [Cl-].N2C(CC(C)C)C(=O)NC(CC1=CC=C(O)C=C1)C(=O)NC(CCN)C(=O)NC(CCN)C(=O)NC(C(O)C)C(=O)NC(CCN)C(=O)NC(C(O)C)C(=O)NC(C(=O)NC(CCNC(=O)CCCCCCCC)C(=O)NC(C2=O)CCN)CCN.[H+].[H+].[H+].[H+].[H+].[Cl-].[Cl-].[Cl-].[Cl-]
国际化学标识码 InChI 1S/C56H98N16O14.5ClH/c1-6-7-8-9-10-11-12-44(76)62-28-22-41-50(80)63-37(18-24-58)49(79)69-42(29-31(2)3)53(83)70-43(30-34-13-15-35(75)16-14-34)54(84)65-36(17-23-57)47(77)64-39(20-26-60)51(81)71-46(33(5)74)56(86)68-40(21-27-61)52(82)72-45(32(4)73)55(85)67-38(19-25-59)48(78)66-41;;;;;/h13-16,31-33,36-43,45-46,73-75H,6-12,17-30,57-61H2,1-5H3,(H,62,76)(H,63,80)(H,64,77)(H,65,84)(H,66,78)(H,67,85)(H,68,86)(H,69,79)(H,70,83)(H,71,81)(H,72,82);5*1H
国际化学标识检索码 InChIKey JGDVPHMBJZOZLP-UHFFFAOYSA-N
物理化学性质
沸点 1603.7°C at 760 mmHg (计算值)
闪点 923.7°C (计算值)
市场分析报告
请浏览N-[2-[5,14,17,23,29-五(2-氨基乙基)-20,26-二(1-羟基乙基)-11-[(4-羟基苯基)甲基]-8-(2-甲基丙基)-3,6,9,12,15,18,21,24,27,30-十氧代-1,4,7,10,13,16,19,22,25,28-十氮杂环三十碳-2-基]乙基]壬酰胺五盐酸盐市场分析报告总目录
相关产品
2-(甲基氨基)苯甲醛  N-[2-羟基-3-[4-(苯基甲基)哌嗪-1-基...  N,N'-(2,3-二硝基-1,4-亚苯基)二乙酰...  N-(1-甲基-2-(4-乙基哌嗪o)乙基)苯胺二...  草酸;1-(4-苯基-2-丙-2-基哌嗪-1-基)...  N-(1-甲基-2-(4-n-丁基哌嗪o)乙基)苯...  alpha-甲基-N-苯基-4-(苯基甲基)-1-...  草酸;N-[1-(4-苯乙基哌嗪-1-基)丙-2-...  N-(2-(4-乙基-1-哌嗪基)-1-甲基乙基)...  N-(1-甲基-2-(4-异丙基哌嗪并)乙基)丙酰...  6-(1-甲基-2-(4-苯乙基哌嗪基)乙基)氨基...  草酸;N-[1-[4-(2-苯基乙基)哌嗪-1-基...  2-n-丁氧基-6-(N-(1-甲基-2-(4-苯...  丁基邻氨基苯甲酸酯  (8R,9S,10R,13S,14S,17S)-1...