Online Database of Chemicals from Around the World

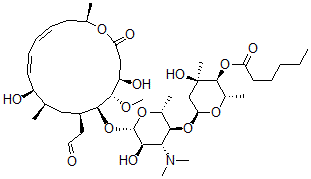
[(2S,3S,4R,6S)-6-[(2R,3S,4R,5R,6S)-6-[[(4R,5S,6S,7R,9R,10R,11E,13E,16R)-4,10-二羟基-5-甲氧基-9,16-二甲基-2-氧代-7-(2-氧代乙基)-1-氧杂环十六碳-11,13-二烯-6-基]氧基]-4-二甲基氨基-5-羟基-2-甲基四氢吡喃-3-基]氧基-4-羟基-2,4-二甲基四氢吡喃-3-基]己酸酯
[CAS# 78897-52-6]

基本信息
产品名称 [(2S,3S,4R,6S)-6-[(2R,3S,4R,5R,6S)-6-[[(4R,5S,6S,7R,9R,10R,11E,13E,16R)-4,10-二羟基-5-甲氧基-9,16-二甲基-2-氧代-7-(2-氧代乙基)-1-氧杂环十六碳-11,13-二烯-6-基]氧基]-4-二甲基氨基-5-羟基-2-甲基四氢吡喃-3-基]氧基-4-羟基-2,4-二甲基四氢吡喃-3-基]己酸酯
英文名 [(2S,3S,4R,6S)-6-[(2R,3S,4R,5R,6S)-6-[[(4R,5S,6S,7R,9R,10R,11E,13E,16R)-4,10-Dihydroxy-5-Methoxy-9,16-Dimethyl-2-Oxo-7-(2-Oxoethyl)-1-Oxacyclohexadeca-11,13-Dien-6-Yl]Oxy]-4-Dimethylamino-5-Hydroxy-2-Methyloxan-3-Yl]Oxy-4-Hydroxy-2,4-Dimethyloxan-3-Yl] Hexanoate
别名 [(2S,3S,4R,6S)-6-[(2R,3S,4R,5R,6S)-6-[[(4R,5S,6S,7R,9R,10R,11E,13E,16R)-4,10-Dihydroxy-5-Methoxy-9,16-Dimethyl-2-Oxo-7-(2-Oxoethyl)-1-Oxacyclohexadeca-11,13-Dien-6-Yl]Oxy]-4-Dimethylamino-5-Hydroxy-2-Methyl-Tetrahydropyran-3-Yl]Oxy-4-Hydroxy-2,4-Dimethyl-Tetrahydropyran-3-Yl] Hexanoate; Hexanoic Acid [(2S,3S,4R,6S)-6-[[(2R,3S,4R,5R,6S)-6-[[(4R,5S,6S,7R,9R,10R,11E,13E,16R)-4,10-Dihydroxy-5-Methoxy-9,16-Dimethyl-2-Oxo-7-(2-Oxoethyl)-1-Oxacyclohexadeca-11,13-Dien-6-Yl]Oxy]-4-Dimethylamino-5-Hydroxy-2-Methyl-3-Tetrahydropyranyl]Oxy]-4-Hydroxy-2,4-Dimethyl-3-Tetrahydropyranyl] Ester; Hexanoic Acid [(2S,3S,4R,6S)-6-[(2R,3S,4R,5R,6S)-6-[[(4R,5S,6S,7R,9R,10R,11E,13E,16R)-4,10-Dihydroxy-2-Keto-7-(2-Ketoethyl)-5-Methoxy-9,16-Dimethyl-1-Oxacyclohexadeca-11,13-Dien-6-Yl]Oxy]-4-Dimethylamino-5-Hydroxy-2-Methyl-Tetrahydropyran-3-Yl]Oxy-4-Hydroxy-2,4-Dimethyl-Tetrahydropyran-3-Yl] Ester
分子结构 CAS 登录号:78897-52-6, [(2S,3S,4R,6S)-6-[(2R,3S,4R,5R,6S)-6-[[(4R,5S,6S,7R,9R,10R,11E,13E,16R)-4,10-二羟基-5-甲氧基-9,16-二甲基-2-氧代-7-(2-氧代乙基)-1-氧杂环十六碳-11,13-二烯-6-基]氧基]-4-二甲基氨基-5-羟基-2-甲基四氢吡喃-3-基]氧基-4-羟基-2,4-二甲基四氢吡喃-3-基]己酸酯
分子式 C41H69NO14
分子量 799.99
CAS 登录号 78897-52-6
分子行输入简码 SMILES [C@H]3(N(C)C)[C@H](O[C@@H]1O[C@H]([C@H](OC(=O)CCCCC)[C@](O)(C1)C)C)[C@H](O[C@@H](O[C@H]2[C@H](C[C@H]([C@@H](O)\C=C\C=C\C[C@H](OC(=O)C[C@@H](O)[C@@H]2OC)C)C)CC=O)[C@@H]3O)C
国际化学标识码 InChI 1S/C41H69NO14/c1-10-11-13-18-31(46)54-39-27(5)52-33(23-41(39,6)49)55-36-26(4)53-40(35(48)34(36)42(7)8)56-37-28(19-20-43)21-24(2)29(44)17-15-12-14-16-25(3)51-32(47)22-30(45)38(37)50-9/h12,14-15,17,20,24-30,33-40,44-45,48-49H,10-11,13,16,18-19,21-23H2,1-9H3/b14-12+,17-15+/t24-,25-,26-,27+,28+,29+,30-,33+,34-,35-,36-,37+,38+,39+,40+,41-/m1/s1
国际化学标识检索码 InChIKey CUDHGRIZNLIHBG-TYBIZVFLSA-N
市场分析报告
请浏览[(2S,3S,4R,6S)-6-[(2R,3S,4R,5R,6S)-6-[[(4R,5S,6S,7R,9R,10R,11E,13E,16R)-4,10-二羟基-5-甲氧基-9,16-二甲基-2-氧代-7-(2-氧代乙基)-1-氧杂环十六碳-11,13-二烯-6-基]氧基]-4-二甲基氨基-5-羟基-2-甲基四氢吡喃-3-基]氧基-4-羟基-2,4-二甲基四氢吡喃-3-基]己酸酯市场分析报告总目录
相关产品
2-[3-[(4-氨基-2-甲基嘧啶-5-基)甲基...  对辛基苯酚钠  [(2S,3S,4R,5R)-5-(2-氨基-6-...  1-甲基萘  3-羟基-3-甲基-4-羧基丁基-辅酶 A  [2-[(8S,9R,10S,11S,13S,14...  2,2-二(4-氟苯基)-1,1,1-三氟乙烷  2-硝基芘  (2E,4E)-1-吡咯烷-1-基癸-2,4-二烯...  [2-(4-二甲基氨基苯基)偶氮苯基]甲基乙酸酯  [4-(4-二甲基氨基苯基)偶氮苯基]甲基乙酸酯  (4Z)-4-[(2-二乙基氨基乙胺)亚甲基]-6...  1,3-二甲氧基-5-(2-苯乙烯基)苯  (2R,3aS,4aS,5R,5aS,6R,9aR...  (2R,3aS,4aS,5R,5aS,9aR,10...