Online Database of Chemicals from Around the World

十聚甘油单油酸酯
[CAS# 79665-93-3]

供应商
BOC Sciences 美国 询价快递  
+1 (631) 485-4226
info@bocsci.com
Skype 聊天
化学品供销商
chemBlink 集群供应商(2012 年起)
International Laboratory Limited 美国 询价快递  
+1 (650) 278-9963
admin@intlab.org
化学品生产商(2002 年起)
RIA International LLC 美国 询价快递  
+1 (973) 581-1282/
marketing@riausa.net,nj@riausa.net
化学品供销商
基本信息
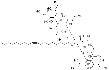
产品名称 十聚甘油单油酸酯
英文名 Oleic Acid Monoester With Decaglycerol
分子结构 CAS 登录号:79665-93-3, 十聚甘油单油酸酯
CAS 登录号 79665-93-3
EINECS 登录号 279-230-0
市场分析报告
请浏览十聚甘油单油酸酯市场分析报告总目录
相关产品
三聚甘油二油酸酯  3-(3-氯-丙氧基)苯胺  11-氧代-6,11-二氢-二苯并[b,e]氧杂卓...  [2R-[1(S*),2a,4b]]-1-[2-氨...  (1H-吡咯-2-基)-乙酸  1,4,7,10,13,16-六甲基-1,4,7,...  3-碘-L-酪氨酸甲酯盐酸盐  (1-甲氧基乙烯基)三甲基硅烷  4-[2-[1-[[(2,4-二甲基苯基)氨基]羰...  6-氯-3-吲哚酚-beta-D-吡喃甘露糖苷  苯并[b]呋喃-3-硼酸频哪醇酯  N-甲酰基瓦伦尼克林  1-(4-氯苯基)-5-(2,4-二氯苯基)-1H...  4-氯-1-甲基喹唑啉-2(1H)-酮  甲基 6-氨基-6-脱氧-D-吡喃甘露糖苷