Online Database of Chemicals from Around the World

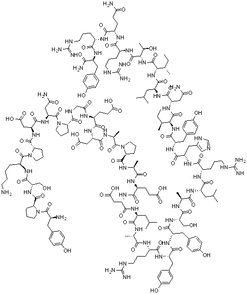
神经肽 Y, 猪的
[CAS# 82785-45-3]

供应商
BOC Sciences 美国 询价快递  
+1 (631) 485-4226
info@bocsci.com
Skype 聊天
化学品供销商
chemBlink 集群供应商(2012 年起)
International Laboratory Limited 美国 询价快递  
+1 (650) 278-9963
admin@intlab.org
化学品生产商(2002 年起)
基本信息
产品名称 神经肽 Y, 猪的
英文名 Neuropeptide Y, Porcine
分子结构 CAS 登录号:82785-45-3, 神经肽 Y, 猪的
分子式 C190H287N55O57
分子量 4253.69
CAS 登录号 82785-45-3
分子行输入简码 SMILES [C@@H]3(N(C(=O)[C@@H](NC(=O)[C@@H](NC(=O)[C@H]2N(C(=O)[C@@H](N)CC1=CC=C(O)C=C1)CCC2)CO)CCCCN)CCC3)C(=O)N[C@H](C(=O)N[C@H](C(=O)N%10[C@H](C(=O)NCC(=O)N[C@H](C(=O)N[C@H](C(=O)N[C@H](C(=O)N9[C@H](C(=O)N[C@H](C(=O)N[C@H](C(=O)N[C@H](C(=O)N[C@H](C(=O)N[C@H](C(=O)N[C@H](C(=O)N[C@H](C(=O)N[C@H](C(=O)N[C@H](C(=O)N[C@H](C(=O)N[C@H](C(=O)N[C@H](C(=O)N[C@H](C(=O)N[C@H](C(=O)N[C@H](C(=O)N[C@H](C(=O)N[C@H](C(=O)N[C@H](C(=O)N[C@H](C(=O)N[C@H](C(=O)N[C@H](C(=O)N[C@H](C(=O)N[C@@H](CC4=CC=C(O)C=C4)C(=O)N)CCCNC(=N)N)CCC(=O)N)CCCNC(=N)N)[C@H](O)C)[C@H](CC)C)CC(C)C)CC(=O)N)[C@H](CC)C)CC5=CC=C(O)C=C5)CC6=CN=C[NH]6)CCCNC(=N)N)CC(C)C)C)CO)CC7=CC=C(O)C=C7)CC8=CC=C(O)C=C8)CCCNC(=N)N)C)CC(C)C)CC(=O)O)CCC(=O)O)C)CCC9)C)CC(=O)O)CCC(=O)O)CCC%10)CC(=O)N)CC(=O)O
国际化学标识码 InChI 1S/C190H287N55O57/c1-16-94(9)149(180(296)235-129(81-141(194)255)169(285)227-124(74-93(7)8)172(288)240-150(95(10)17-2)181(297)241-151(100(15)248)182(298)222-116(32-23-67-209-190(203)204)156(272)221-118(57-60-140(193)254)161(277)219-114(30-21-65-207-188(199)200)157(273)224-121(152(196)268)76-102-39-49-108(250)50-40-102)239-173(289)127(79-105-45-55-111(253)56-46-105)230-168(284)128(80-106-86-205-90-211-106)231-159(275)115(31-22-66-208-189(201)202)220-165(281)123(73-92(5)6)225-155(271)97(12)213-174(290)134(88-246)237-167(283)126(78-104-43-53-110(252)54-44-104)229-166(282)125(77-103-41-51-109(251)52-42-103)228-158(274)113(29-20-64-206-187(197)198)217-153(269)96(11)212-163(279)122(72-91(3)4)226-170(286)131(84-147(264)265)233-162(278)119(59-62-145(260)261)218-154(270)98(13)214-177(293)137-34-25-68-242(137)183(299)99(14)215-164(280)130(83-146(262)263)232-160(276)117(58-61-144(258)259)216-143(257)87-210-176(292)136-33-24-70-244(136)186(302)133(82-142(195)256)236-171(287)132(85-148(266)267)234-178(294)139-36-27-71-245(139)185(301)120(28-18-19-63-191)223-175(291)135(89-247)238-179(295)138-35-26-69-243(138)184(300)112(192)75-101-37-47-107(249)48-38-101/h37-56,86,90-100,112-139,149-151,246-253H,16-36,57-85,87-89,191-192H2,1-15H3,(H2,193,254)(H2,194,255)(H2,195,256)(H2,196,268)(H,205,211)(H,210,292)(H,212,279)(H,213,290)(H,214,293)(H,215,280)(H,216,257)(H,217,269)(H,218,270)(H,219,277)(H,220,281)(H,221,272)(H,222,298)(H,223,291)(H,224,273)(H,225,271)(H,226,286)(H,227,285)(H,228,274)(H,229,282)(H,230,284)(H,231,275)(H,232,276)(H,233,278)(H,234,294)(H,235,296)(H,236,287)(H,237,283)(H,238,295)(H,239,289)(H,240,288)(H,241,297)(H,258,259)(H,260,261)(H,262,263)(H,264,265)(H,266,267)(H4,197,198,206)(H4,199,200,207)(H4,201,202,208)(H4,203,204,209)/t94-,95-,96-,97-,98-,99-,100+,112-,113-,114-,115-,116-,117-,118-,119-,120-,121-,122-,123-,124-,125-,126-,127-,128-,129-,130-,131-,132-,133-,134-,135-,136-,137-,138-,139-,149-,150-,151-/m0/s1
国际化学标识检索码 InChIKey URPYMXQQVHTUDU-OFGSCBOVSA-N
市场分析报告
请浏览神经肽 Y, 猪的市场分析报告总目录
相关产品
alpha-环丙基-4-氟苄醇  2-十二烷基-9H-噻吨-9-酮  2,6-二甲基-1,3-二恶烷-4-醇乙酸酯  6-[1,1'-联苯]-4-基-3-氯-9,10-...  2,2,5,5-四甲基-4-亚甲基-3-甲酰基-咪...  纳洛肼二盐酸盐  4-吡哆酸  2-甲基-5H-苯并(g)-1,3,4-噻二唑并(...  1-(4-碘-2,5-二甲氧基-苯基)丙-2-胺  6-(二甲基氨基)-3-吡啶羧酸  4-羟基甲基-双环[2.2.2]辛烷-1-羧酸  康普立停  波吲洛尔丙二酸盐  伊来西胺  亚水杨基邻甲苯腙